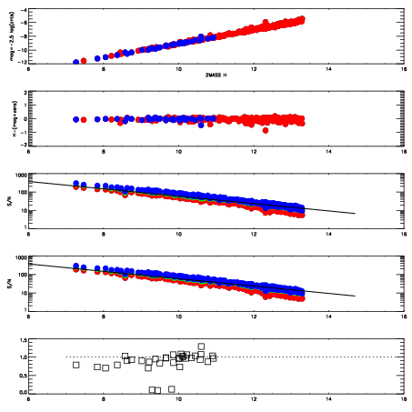
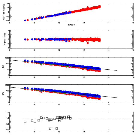
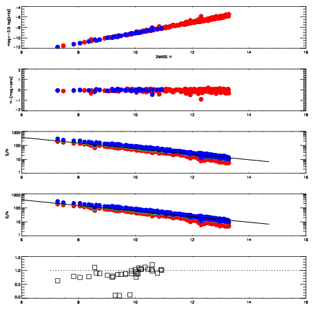
Frame | Nreads | Zeropoints | Mag plots
| Spatial mag deviation
| Spatial sky 16325A emission deviations (filled: sky, open: star)
| Spatial sky continuum emission
| Spatial sky telluric CO2 absorption deviations (filled: H < 10)
|
6650059
| 47
| | Red | Green | Blue
| z | | 19.11
| znorm | | 14.93
| sky | 14.9 | 14.4 | 14.3
| S/N | 15.7 | 25.6 | 25.5
| S/N(c) | 14.0 | 42.8 | 26.4
| SN(E/C) | 0.93
|
|
|
|
|
|
|
6650060
| 47
| | Red | Green | Blue
| z | | 19.12
| znorm | | 14.94
| sky | 14.9 | 14.5 | 14.6
| S/N | 15.6 | 25.4 | 26.2
| S/N(c) | 14.3 | 43.2 | 27.2
| SN(E/C) | 0.94
|
|
|
|
|
|
|
6650061
| 47
| | Red | Green | Blue
| z | | 19.10
| znorm | | 14.92
| sky | 15.1 | 14.7 | 14.6
| S/N | 15.6 | 25.3 | 25.9
| S/N(c) | 14.2 | 43.0 | 27.0
| SN(E/C) | 0.94
|
|
|
|
|
|
|
6650062
| 47
| | Red | Green | Blue
| z | | 19.14
| znorm | | 14.96
| sky | 15.0 | 14.6 | 14.7
| S/N | 15.6 | 25.6 | 26.6
| S/N(c) | 14.4 | 43.7 | 27.7
| SN(E/C) | 0.91
|
|
|
|
|
|
|
6650063
| 47
| | Red | Green | Blue
| z | | 19.09
| znorm | | 14.91
| sky | 14.8 | 14.7 | 14.8
| S/N | 15.2 | 24.7 | 25.6
| S/N(c) | 14.1 | 42.8 | 26.9
| SN(E/C) | 0.89
|
|
|
|
|
|
|
6650064
| 47
| | Red | Green | Blue
| z | | 18.96
| znorm | | 14.78
| sky | 14.9 | 14.8 | 14.7
| S/N | 14.1 | 23.2 | 24.1
| S/N(c) | 13.0 | 40.6 | 25.1
| SN(E/C) | 0.96
|
|
|
|
|
|
|
6650065
| 47
| | Red | Green | Blue
| z | | 19.10
| znorm | | 14.92
| sky | 14.9 | 14.7 | 14.7
| S/N | 15.4 | 24.9 | 26.1
| S/N(c) | 13.9 | 43.4 | 26.7
| SN(E/C) | 0.94
|
|
|
|
|
|
|
6650066
| 47
| | Red | Green | Blue
| z | | 19.04
| znorm | | 14.86
| sky | 14.8 | 14.8 | 14.7
| S/N | 14.9 | 24.3 | 25.0
| S/N(c) | 13.4 | 40.8 | 25.6
| SN(E/C) | 0.94
|
|
|
|
|
|
|