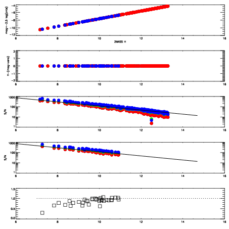
Left plots: red are targets, blue are telluric. Observed mags are calculated from median value of green chip. Zeropoint gives overall throughput: bigger number is more throughput.
First spatial plots: circles are objects, squares are tellurics, crosses are sky fibers. Colors give deviation of observed mag from expected 2MASS mag using the median zeropoint; red is brighter
Second spatial plots: circles are sky fibers. Colors give sky line brightness relative to plate median sky line brightness
FrameNreadsZeropointsMag plots Spatial mag deviation Spatial sky 16325A emission deviations (filled: sky, open: star) Spatial sky continuum emission Spatial sky telluric CO2 absorption deviations (filled: H < 10)
0 0
RedGreenBlue
z17.64
znorm Inf
sky -Inf -Inf -Inf
S/N 28.2 48.2 51.7
S/N(c) 0.0 0.0 0.0
SN(E/C) 0.90

IPAIRNAMESHIFTNEWSHIFTS/N NAMESHIFTNEWSHIFTS/N
0 06660064 0.486578 0.00000 19.1075 06660061 -0.00132089 0.487899 19.0780
1 06660060 0.486551 2.70009e-05 19.0693 06660065 0.000281351 0.486297 19.0752
2 06660059 0.486152 0.000425994 19.0532 06660058 0.00000 0.486578 19.0666
3 06660063 0.486413 0.000164986 19.0448 06660062 0.000301266 0.486277 19.0663