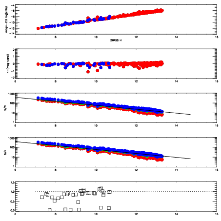
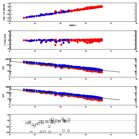
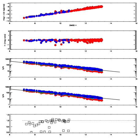
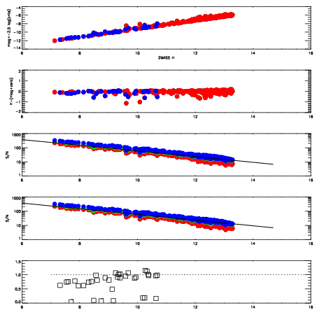
Left plots: red are targets, blue are telluric. Observed mags are calculated from median value of green chip. Zeropoint gives overall throughput: bigger number is more throughput.
First spatial plots: circles are objects, squares are tellurics, crosses are sky fibers. Colors give deviation of observed mag from expected 2MASS mag using the median zeropoint; red is brighter
Second spatial plots: circles are sky fibers. Colors give sky line brightness relative to plate median sky line brightness
FrameNreadsZeropointsMag plots Spatial mag deviation Spatial sky 16325A emission deviations (filled: sky, open: star) Spatial sky continuum emission Spatial sky telluric CO2 absorption deviations (filled: H < 10)
6060069 47
RedGreenBlue
z19.21
znorm15.03
sky 15.3 14.7 14.8
S/N 17.8 28.7 30.2
S/N(c) 9.9 46.1 18.8
SN(E/C) 0.86
6060070 47
RedGreenBlue
z19.21
znorm15.03
sky 15.1 14.6 15.1
S/N 17.8 28.8 30.6
S/N(c) 10.0 46.1 19.1
SN(E/C) 0.89
6060071 47
RedGreenBlue
z19.20
znorm15.02
sky 15.0 14.8 14.9
S/N 17.7 28.7 30.2
S/N(c) 9.8 46.0 19.0
SN(E/C) 0.88
6060072 47
RedGreenBlue
z19.22
znorm15.04
sky 14.8 14.8 15.1
S/N 17.7 29.3 30.8
S/N(c) 9.9 46.3 19.2
SN(E/C) 0.81