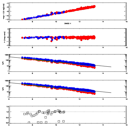
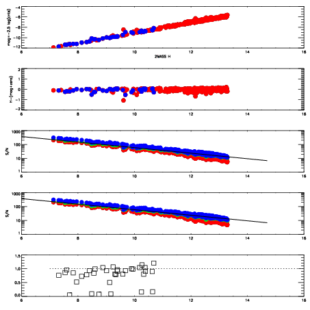
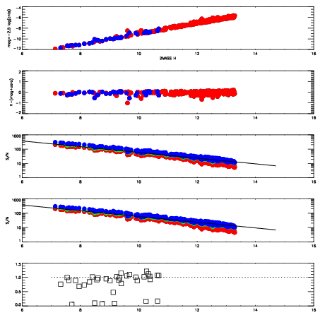
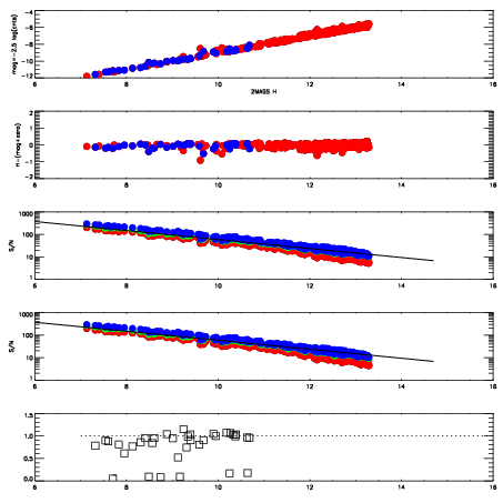
Frame | Nreads | Zeropoints | Mag plots
| Spatial mag deviation
| Spatial sky 16325A emission deviations (filled: sky, open: star)
| Spatial sky continuum emission
| Spatial sky telluric CO2 absorption deviations (filled: H < 10)
|
6070069
| 47
| | Red | Green | Blue
| z | | 18.97
| znorm | | 14.79
| sky | 14.8 | 14.4 | 14.8
| S/N | 14.8 | 25.1 | 26.6
| S/N(c) | 9.0 | 42.9 | 16.9
| SN(E/C) | 0.90
|
|
|
|
|
|
|
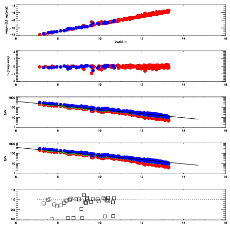
6070070
| 47
| | Red | Green | Blue
| z | | 19.07
| znorm | | 14.89
| sky | 14.8 | 14.5 | 14.9
| S/N | 15.6 | 26.4 | 27.7
| S/N(c) | 9.4 | 45.2 | 18.0
| SN(E/C) | 0.92
|
|
|
|
|
|
|
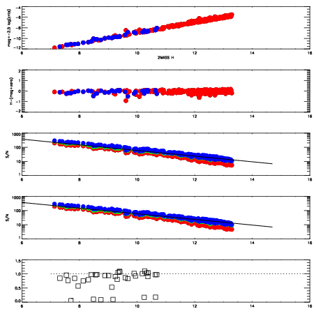
6070071
| 47
| | Red | Green | Blue
| z | | 19.08
| znorm | | 14.90
| sky | 14.9 | 14.6 | 14.8
| S/N | 16.1 | 26.7 | 28.2
| S/N(c) | 9.4 | 45.7 | 18.3
| SN(E/C) | 0.90
|
|
|
|
|
|
|
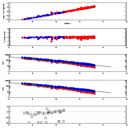
6070072
| 47
| | Red | Green | Blue
| z | | 19.09
| znorm | | 14.91
| sky | 14.9 | 14.7 | 14.9
| S/N | 16.1 | 26.6 | 28.3
| S/N(c) | 9.5 | 45.8 | 18.3
| SN(E/C) | 0.88
|
|
|
|
|
|
|
6070073
| 47
| | Red | Green | Blue
| z | | 19.04
| znorm | | 14.86
| sky | 14.7 | 14.6 | 15.0
| S/N | 15.4 | 26.2 | 27.5
| S/N(c) | 9.3 | 44.9 | 18.0
| SN(E/C) | 0.90
|
|
|
|
|
|
|
6070074
| 47
| | Red | Green | Blue
| z | | 18.99
| znorm | | 14.81
| sky | 14.9 | 14.7 | 14.9
| S/N | 15.3 | 25.6 | 26.9
| S/N(c) | 9.0 | 43.9 | 17.6
| SN(E/C) | 0.90
|
|
|
|
|
|
|
6070075
| 47
| | Red | Green | Blue
| z | | 19.13
| znorm | | 14.95
| sky | 15.2 | 14.8 | 14.8
| S/N | 16.7 | 27.4 | 28.8
| S/N(c) | 9.7 | 46.8 | 18.8
| SN(E/C) | 0.86
|
|
|
|
|
|
|
6070076
| 47
| | Red | Green | Blue
| z | | 19.10
| znorm | | 14.92
| sky | 14.8 | 14.9 | 15.0
| S/N | 16.1 | 26.8 | 28.2
| S/N(c) | 9.6 | 46.2 | 18.6
| SN(E/C) | 0.92
|
|
|
|
|
|
|