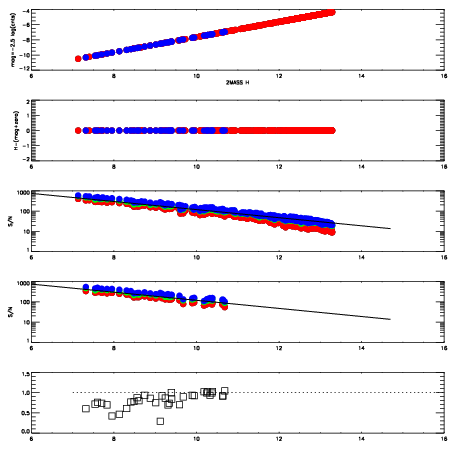
Left plots: red are targets, blue are telluric. Observed mags are calculated from median value of green chip. Zeropoint gives overall throughput: bigger number is more throughput.
First spatial plots: circles are objects, squares are tellurics, crosses are sky fibers. Colors give deviation of observed mag from expected 2MASS mag using the median zeropoint; red is brighter
Second spatial plots: circles are sky fibers. Colors give sky line brightness relative to plate median sky line brightness
FrameNreadsZeropointsMag plots Spatial mag deviation Spatial sky 16325A emission deviations (filled: sky, open: star) Spatial sky continuum emission Spatial sky telluric CO2 absorption deviations (filled: H < 10)
0 0
RedGreenBlue
z17.64
znorm Inf
sky -Inf -NaN -Inf
S/N 28.4 50.3 52.3
S/N(c) 0.0 0.0 0.0
SN(E/C) 0.86

IPAIRNAMESHIFTNEWSHIFTS/N NAMESHIFTNEWSHIFTS/N
0 06070070 0.478191 0.00000 19.0541 06070073 -0.00132087 0.479512 19.0359
1 06070075 0.477466 0.000725001 19.1248 06070076 3.59549e-05 0.478155 19.0890
2 06070071 0.477868 0.000322998 19.0767 06070072 0.000780568 0.477410 19.0817
3 06070074 0.476725 0.00146598 18.9863 06070069 0.00000 0.478191 18.9703