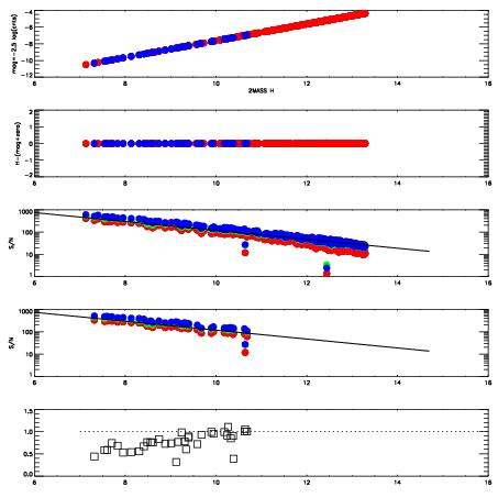
Left plots: red are targets, blue are telluric. Observed mags are calculated from median value of green chip. Zeropoint gives overall throughput: bigger number is more throughput.
First spatial plots: circles are objects, squares are tellurics, crosses are sky fibers. Colors give deviation of observed mag from expected 2MASS mag using the median zeropoint; red is brighter
Second spatial plots: circles are sky fibers. Colors give sky line brightness relative to plate median sky line brightness
FrameNreadsZeropointsMag plots Spatial mag deviation Spatial sky 16325A emission deviations (filled: sky, open: star) Spatial sky continuum emission Spatial sky telluric CO2 absorption deviations (filled: H < 10)
0 0
RedGreenBlue
z17.64
znorm Inf
sky -Inf -Inf -Inf
S/N 29.4 48.8 51.5
S/N(c) 0.0 0.0 0.0
SN(E/C) 0.76

IPAIRNAMESHIFTNEWSHIFTS/N NAMESHIFTNEWSHIFTS/N
0 06410063 0.475532 0.00000 19.1602 06410064 0.000125713 0.475406 19.1729
1 06410062 0.475480 5.20051e-05 19.1434 06410061 -0.000216723 0.475749 19.1265
2 06410059 0.474374 0.00115800 19.1189 06410060 0.00160419 0.473928 19.1243
3 06410058 0.474384 0.00114799 19.1187 06410057 0.00000 0.475532 19.1225