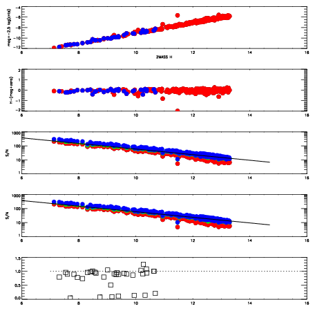
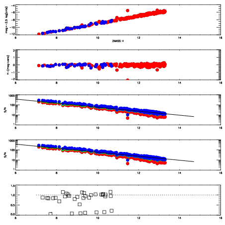
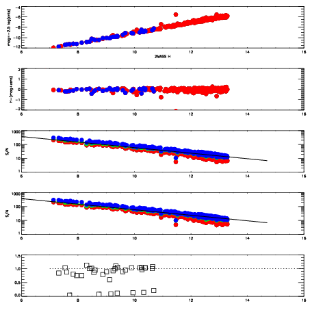
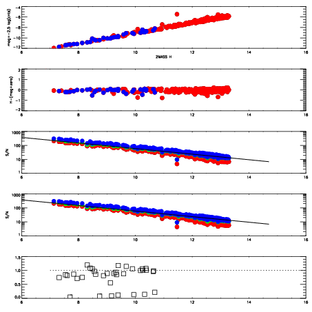
Frame | Nreads | Zeropoints | Mag plots
| Spatial mag deviation
| Spatial sky 16325A emission deviations (filled: sky, open: star)
| Spatial sky continuum emission
| Spatial sky telluric CO2 absorption deviations (filled: H < 10)
|
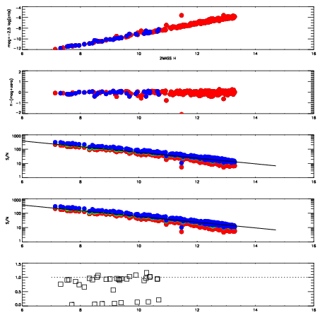
6430047
| 47
| | Red | Green | Blue
| z | | 19.12
| znorm | | 14.94
| sky | 14.8 | 14.6 | 14.9
| S/N | 16.0 | 24.9 | 26.4
| S/N(c) | 9.6 | 46.2 | 18.9
| SN(E/C) | 0.90
|
|
|
|
|
|
|
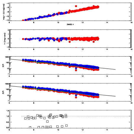
6430048
| 47
| | Red | Green | Blue
| z | | 19.15
| znorm | | 14.97
| sky | 14.9 | 14.7 | 15.0
| S/N | 16.4 | 25.4 | 27.0
| S/N(c) | 9.8 | 46.7 | 19.2
| SN(E/C) | 0.91
|
|
|
|
|
|
|
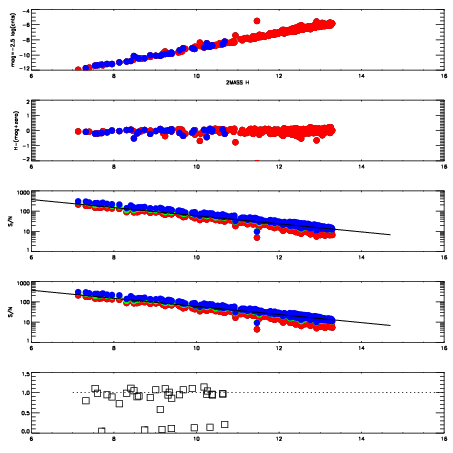
6430049
| 47
| | Red | Green | Blue
| z | | 19.13
| znorm | | 14.95
| sky | 14.6 | 14.8 | 15.2
| S/N | 16.2 | 24.9 | 26.8
| S/N(c) | 9.6 | 46.4 | 19.1
| SN(E/C) | 0.92
|
|
|
|
|
|
|
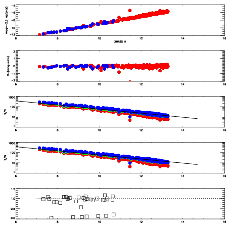
6430050
| 47
| | Red | Green | Blue
| z | | 19.04
| znorm | | 14.86
| sky | 14.8 | 14.8 | 15.1
| S/N | 15.4 | 23.9 | 25.7
| S/N(c) | 9.0 | 44.2 | 18.5
| SN(E/C) | 0.95
|
|
|
|
|
|
|
6430051
| 47
| | Red | Green | Blue
| z | | 19.05
| znorm | | 14.87
| sky | 14.8 | 14.8 | 15.1
| S/N | 15.6 | 24.2 | 26.2
| S/N(c) | 9.2 | 45.2 | 18.9
| SN(E/C) | 0.91
|
|
|
|
|
|
|
6430052
| 47
| | Red | Green | Blue
| z | | 19.10
| znorm | | 14.92
| sky | 14.9 | 14.7 | 15.0
| S/N | 16.0 | 24.5 | 26.8
| S/N(c) | 9.4 | 46.0 | 19.3
| SN(E/C) | 0.89
|
|
|
|
|
|
|
6430053
| 47
| | Red | Green | Blue
| z | | 19.14
| znorm | | 14.96
| sky | 14.8 | 14.9 | 15.1
| S/N | 16.4 | 24.8 | 27.1
| S/N(c) | 9.6 | 46.7 | 19.7
| SN(E/C) | 0.95
|
|
|
|
|
|
|
6430054
| 47
| | Red | Green | Blue
| z | | 19.14
| znorm | | 14.96
| sky | 14.8 | 14.8 | 14.9
| S/N | 16.5 | 24.8 | 27.2
| S/N(c) | 9.5 | 46.2 | 19.5
| SN(E/C) | 0.88
|
|
|
|
|
|
|