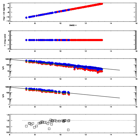
Left plots: red are targets, blue are telluric. Observed mags are calculated from median value of green chip. Zeropoint gives overall throughput: bigger number is more throughput.
First spatial plots: circles are objects, squares are tellurics, crosses are sky fibers. Colors give deviation of observed mag from expected 2MASS mag using the median zeropoint; red is brighter
Second spatial plots: circles are sky fibers. Colors give sky line brightness relative to plate median sky line brightness
FrameNreadsZeropointsMag plots Spatial mag deviation Spatial sky 16325A emission deviations (filled: sky, open: star) Spatial sky continuum emission Spatial sky telluric CO2 absorption deviations (filled: H < 10)
0 0
RedGreenBlue
z17.64
znorm Inf
sky -Inf -Inf -Inf
S/N 23.3 42.4 44.0
S/N(c) 0.0 0.0 0.0
SN(E/C) 0.89

IPAIRNAMESHIFTNEWSHIFTS/N NAMESHIFTNEWSHIFTS/N
0 06080081 0.487603 0.00000 18.8774 06080083 0.00175111 0.485852 18.8520
1 06080082 0.487241 0.000362009 18.8796 06080084 -4.70999e-05 0.487650 18.9444
2 06080085 0.482711 0.00489202 18.8770 06080080 0.00000 0.487603 18.8483
3 06080086 0.482285 0.00531802 18.4875 06080087 0.00194286 0.485660 18.7780