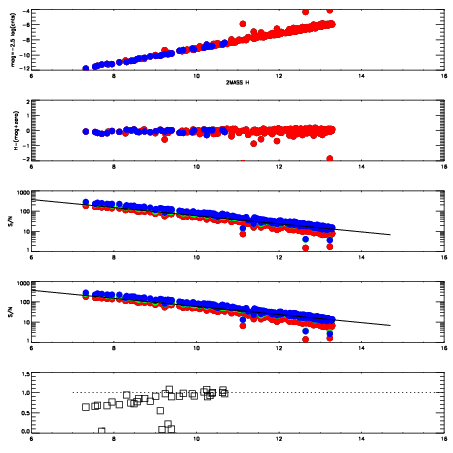
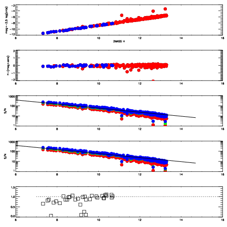
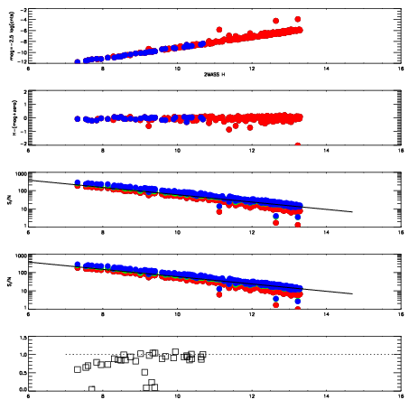
Frame | Nreads | Zeropoints | Mag plots
| Spatial mag deviation
| Spatial sky 16325A emission deviations (filled: sky, open: star)
| Spatial sky continuum emission
| Spatial sky telluric CO2 absorption deviations (filled: H < 10)
|
6150031
| 47
| | Red | Green | Blue
| z | | 19.11
| znorm | | 14.92
| sky | 14.6 | 14.5 | 14.9
| S/N | 15.7 | 25.4 | 28.3
| S/N(c) | 28.2 | 14.9 | 35.2
| SN(E/C) | 0.88
|
|
|
|
|
|
|
6150032
| 47
| | Red | Green | Blue
| z | | 18.82
| znorm | | 14.64
| sky | 14.2 | 14.1 | 14.3
| S/N | 13.2 | 21.1 | 24.5
| S/N(c) | 23.9 | 12.8 | 30.3
| SN(E/C) | 0.92
|
|
|
|
|
|
|
6150033
| 47
| | Red | Green | Blue
| z | | 18.21
| znorm | | 14.03
| sky | 13.5 | 13.6 | 13.7
| S/N | 7.2 | 13.3 | 16.4
| S/N(c) | 16.1 | 9.2 | 21.6
| SN(E/C) | 0.97
|
|
|
|
|
|
|
6150034
| 47
| | Red | Green | Blue
| z | | 19.16
| znorm | | 14.98
| sky | 14.7 | 14.8 | 15.1
| S/N | 16.5 | 26.5 | 29.4
| S/N(c) | 29.3 | 15.3 | 36.3
| SN(E/C) | 0.85
|
|
|
|
|
|
|
6150035
| 47
| | Red | Green | Blue
| z | | 19.17
| znorm | | 14.99
| sky | 14.8 | 14.8 | 15.1
| S/N | 16.6 | 27.0 | 29.9
| S/N(c) | 29.5 | 15.2 | 36.1
| SN(E/C) | 0.87
|
|
|
|
|
|
|
6150036
| 47
| | Red | Green | Blue
| z | | 19.18
| znorm | | 15.00
| sky | 14.7 | 14.8 | 15.0
| S/N | 16.7 | 27.2 | 30.0
| S/N(c) | 29.5 | 15.4 | 36.5
| SN(E/C) | 0.90
|
|
|
|
|
|
|
6150037
| 47
| | Red | Green | Blue
| z | | 19.18
| znorm | | 14.99
| sky | 14.8 | 14.8 | 15.1
| S/N | 16.9 | 27.4 | 30.2
| S/N(c) | 29.5 | 15.4 | 36.3
| SN(E/C) | 0.88
|
|
|
|
|
|
|
6150038
| 47
| | Red | Green | Blue
| z | | 19.17
| znorm | | 14.99
| sky | 14.6 | 14.9 | 15.0
| S/N | 16.5 | 27.1 | 30.2
| S/N(c) | 29.2 | 15.2 | 36.0
| SN(E/C) | 0.85
|
|
|
|
|
|
|