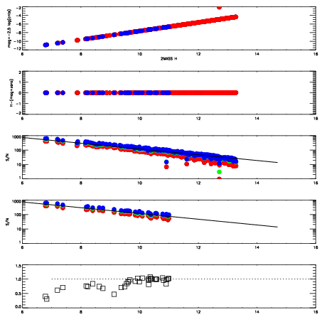
Left plots: red are targets, blue are telluric. Observed mags are calculated from median value of green chip. Zeropoint gives overall throughput: bigger number is more throughput.
First spatial plots: circles are objects, squares are tellurics, crosses are sky fibers. Colors give deviation of observed mag from expected 2MASS mag using the median zeropoint; red is brighter
Second spatial plots: circles are sky fibers. Colors give sky line brightness relative to plate median sky line brightness
FrameNreadsZeropointsMag plots Spatial mag deviation Spatial sky 16325A emission deviations (filled: sky, open: star) Spatial sky continuum emission Spatial sky telluric CO2 absorption deviations (filled: H < 10)
0 0
RedGreenBlue
z17.64
znorm Inf
sky -Inf -Inf -Inf
S/N 25.1 45.4 48.1
S/N(c) 0.0 0.0 0.0
SN(E/C) 0.92

IPAIRNAMESHIFTNEWSHIFTS/N NAMESHIFTNEWSHIFTS/N
0 06630051 0.485697 0.00000 19.0376 06630052 0.00313085 0.482566 18.9638
1 06630050 0.485219 0.000477999 19.0167 06630049 -0.00168212 0.487379 18.8725
2 06630047 0.482918 0.00277901 18.8932 06630045 0.00000 0.485697 18.8653
3 06630046 0.482381 0.00331602 18.8631 06630048 0.00200749 0.483690 18.8450