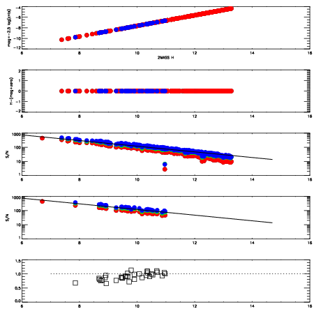
Left plots: red are targets, blue are telluric. Observed mags are calculated from median value of green chip. Zeropoint gives overall throughput: bigger number is more throughput.
First spatial plots: circles are objects, squares are tellurics, crosses are sky fibers. Colors give deviation of observed mag from expected 2MASS mag using the median zeropoint; red is brighter
Second spatial plots: circles are sky fibers. Colors give sky line brightness relative to plate median sky line brightness
FrameNreadsZeropointsMag plots Spatial mag deviation Spatial sky 16325A emission deviations (filled: sky, open: star) Spatial sky continuum emission Spatial sky telluric CO2 absorption deviations (filled: H < 10)
0 0
RedGreenBlue
z17.64
znorm Inf
sky -Inf -NaN -Inf
S/N 23.9 41.3 43.9
S/N(c) 0.0 0.0 0.0
SN(E/C) 0.92

IPAIRNAMESHIFTNEWSHIFTS/N NAMESHIFTNEWSHIFTS/N
0 06340039 0.464850 0.00000 17.4094 06340040 0.00221124 0.462639 18.0921
1 06340043 0.462691 0.00215900 19.1839 06340044 -0.00215226 0.467002 19.2077
2 06340042 0.461844 0.00300601 19.1324 06340037 0.00000 0.464850 18.9335
3 06340038 0.463588 0.00126201 19.0358 06340041 0.00128220 0.463568 18.8399