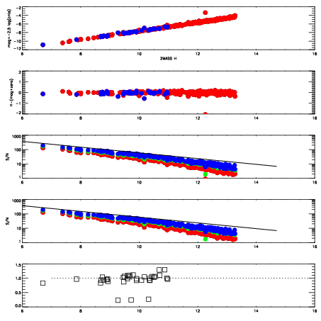
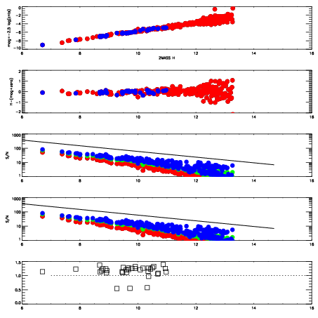
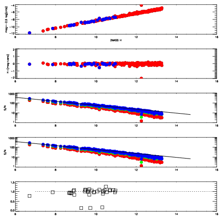
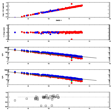
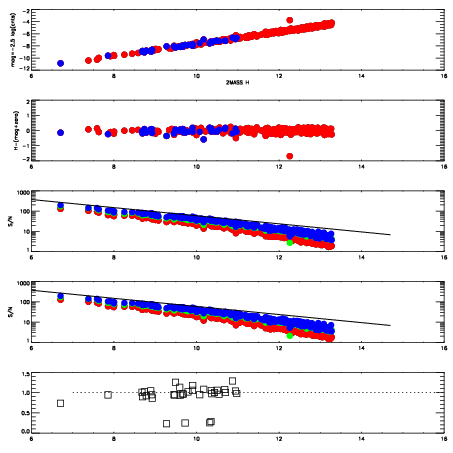
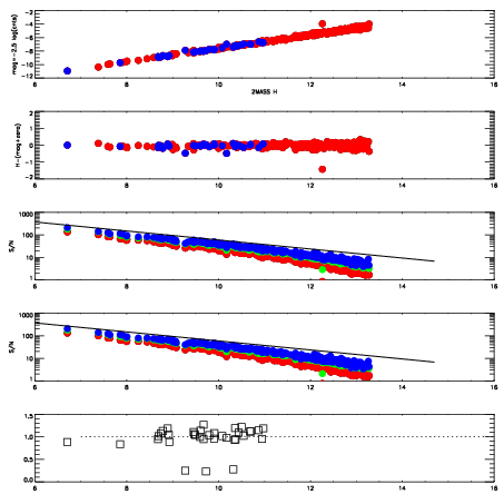
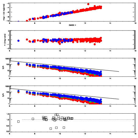
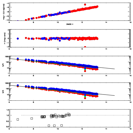
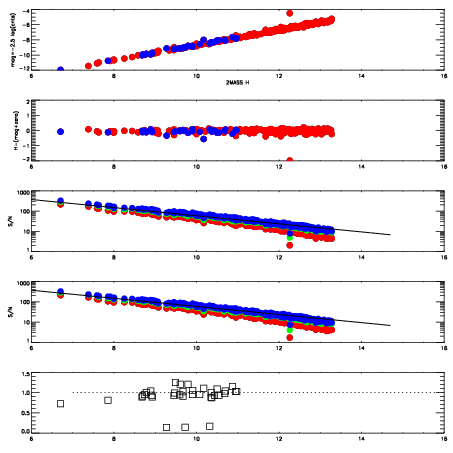
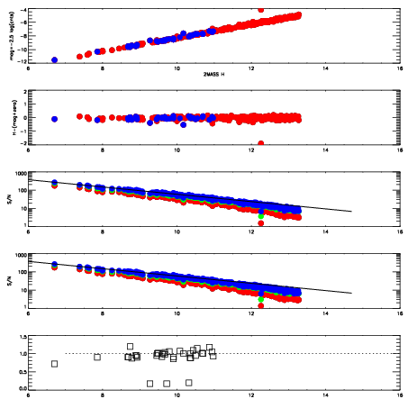
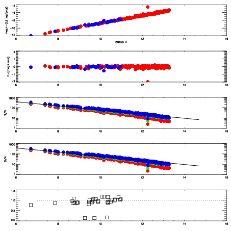
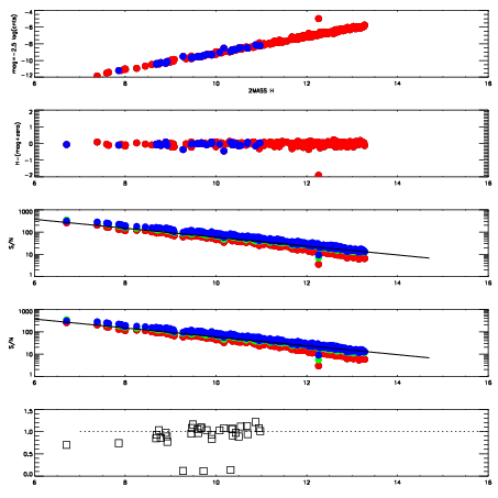
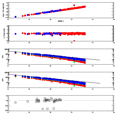
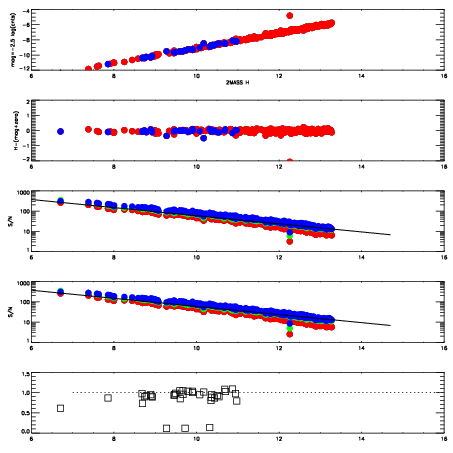
Frame | Nreads | Zeropoints | Mag plots
| Spatial mag deviation
| Spatial sky 16325A emission deviations (filled: sky, open: star)
| Spatial sky continuum emission
| Spatial sky telluric CO2 absorption deviations (filled: H < 10)
|
6620054
| 47
| | Red | Green | Blue
| z | | 17.64
| znorm | | 13.46
| sky | 14.5 | 14.4 | 14.8
| S/N | 5.1 | 9.7 | 11.1
| S/N(c) | 6.7 | 7.4 | 3.5
| SN(E/C) | 1.03
|
|
|
|
|
|
|
6620055
| 47
| | Red | Green | Blue
| z | | 15.78
| znorm | | 11.60
| sky | 14.4 | 14.4 | 14.9
| S/N | 1.0 | 2.1 | 3.6
| S/N(c) | 1.5 | 2.2 | 1.2
| SN(E/C) | 1.21
|
|
|
|
|
|
|
6620056
| 47
| | Red | Green | Blue
| z | | 17.13
| znorm | | 12.95
| sky | 14.3 | 14.4 | 14.8
| S/N | 3.7 | 7.3 | 8.4
| S/N(c) | 4.3 | 5.5 | 2.6
| SN(E/C) | 1.07
|
|
|
|
|
|
|
6620057
| 47
| | Red | Green | Blue
| z | | 18.97
| znorm | | 14.79
| sky | 14.7 | 14.7 | 15.1
| S/N | 14.3 | 23.9 | 24.8
| S/N(c) | 15.8 | 15.3 | 7.2
| SN(E/C) | 0.95
|
|
|
|
|
|
|
6620058
| 47
| | Red | Green | Blue
| z | | 19.03
| znorm | | 14.85
| sky | 14.9 | 14.7 | 14.9
| S/N | 15.2 | 24.8 | 25.8
| S/N(c) | 16.1 | 15.9 | 7.3
| SN(E/C) | 0.91
|
|
|
|
|
|
|
6620059
| 47
| | Red | Green | Blue
| z | | 19.14
| znorm | | 14.96
| sky | 14.8 | 14.7 | 15.0
| S/N | 16.1 | 26.1 | 27.3
| S/N(c) | 17.2 | 16.8 | 7.8
| SN(E/C) | 0.93
|
|
|
|
|
|
|
6620060
| 47
| | Red | Green | Blue
| z | | 19.15
| znorm | | 14.97
| sky | 14.8 | 14.8 | 15.1
| S/N | 16.5 | 26.7 | 27.7
| S/N(c) | 17.2 | 17.0 | 7.9
| SN(E/C) | 0.97
|
|
|
|
|
|
|
6620061
| 47
| | Red | Green | Blue
| z | | 18.79
| znorm | | 14.61
| sky | 14.8 | 14.7 | 15.1
| S/N | 12.9 | 21.9 | 23.5
| S/N(c) | 13.8 | 14.0 | 6.6
| SN(E/C) | 0.94
|
|
|
|
|
|
|
6620062
| 47
| | Red | Green | Blue
| z | | 18.74
| znorm | | 14.56
| sky | 14.8 | 14.9 | 15.2
| S/N | 12.5 | 21.5 | 23.0
| S/N(c) | 13.3 | 13.7 | 6.4
| SN(E/C) | 0.95
|
|
|
|
|
|
|
6620063
| 47
| | Red | Green | Blue
| z | | 18.40
| znorm | | 14.22
| sky | 14.7 | 14.7 | 15.5
| S/N | 9.9 | 17.9 | 19.4
| S/N(c) | 10.7 | 11.4 | 5.3
| SN(E/C) | 0.98
|
|
|
|
|
|
|
6620064
| 47
| | Red | Green | Blue
| z | | 18.06
| znorm | | 13.88
| sky | 14.7 | 14.7 | 15.1
| S/N | 7.5 | 14.2 | 15.4
| S/N(c) | 8.7 | 9.5 | 4.5
| SN(E/C) | 1.00
|
|
|
|
|
|
|
6620065
| 47
| | Red | Green | Blue
| z | | 18.34
| znorm | | 14.16
| sky | 14.9 | 14.8 | 15.2
| S/N | 9.1 | 16.9 | 18.3
| S/N(c) | 10.3 | 11.0 | 5.0
| SN(E/C) | 0.95
|
|
|
|
|
|
|
6620066
| 47
| | Red | Green | Blue
| z | | 17.69
| znorm | | 13.51
| sky | 14.8 | 14.8 | 15.2
| S/N | 5.7 | 11.4 | 12.2
| S/N(c) | 6.9 | 7.8 | 3.8
| SN(E/C) | 0.98
|
|
|
|
|
|
|
6620067
| 47
| | Red | Green | Blue
| z | | 17.71
| znorm | | 13.53
| sky | 14.8 | 15.1 | 15.3
| S/N | 5.9 | 11.4 | 11.9
| S/N(c) | 6.9 | 7.8 | 3.8
| SN(E/C) | 0.97
|
|
|
|
|
|
|