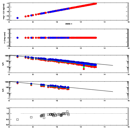
Left plots: red are targets, blue are telluric. Observed mags are calculated from median value of green chip. Zeropoint gives overall throughput: bigger number is more throughput.
First spatial plots: circles are objects, squares are tellurics, crosses are sky fibers. Colors give deviation of observed mag from expected 2MASS mag using the median zeropoint; red is brighter
Second spatial plots: circles are sky fibers. Colors give sky line brightness relative to plate median sky line brightness
FrameNreadsZeropointsMag plots Spatial mag deviation Spatial sky 16325A emission deviations (filled: sky, open: star) Spatial sky continuum emission Spatial sky telluric CO2 absorption deviations (filled: H < 10)
0 0
RedGreenBlue
z17.64
znorm Inf
sky -Inf -Inf -Inf
S/N 24.6 44.0 48.8
S/N(c) 0.0 0.0 0.0
SN(E/C) 0.89

IPAIRNAMESHIFTNEWSHIFTS/N NAMESHIFTNEWSHIFTS/N
0 06620067 0.476698 0.00000 17.7015 06620065 0.00421529 0.472483 18.3255
1 06620060 0.474177 0.00252101 19.1502 06620058 -0.00447864 0.481177 19.0231
2 06620059 0.474627 0.00207102 19.1281 06620057 -0.000675820 0.477374 18.9575
3 06620063 0.474897 0.00180101 18.4047 06620061 -0.000100942 0.476799 18.7867
4 06620064 0.475333 0.00136501 18.0583 06620062 -0.00315222 0.479850 18.7318
5 06620056 0.474889 0.00180900 17.0957 06620066 0.00732719 0.469371 17.6875
6 06620055 0.475842 0.000856012 15.8042 06620054 0.00000 0.476698 17.6397