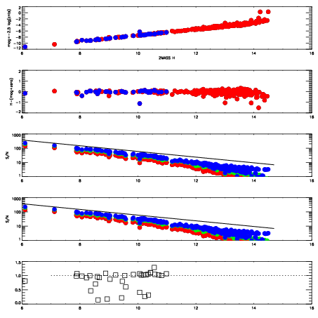
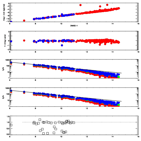
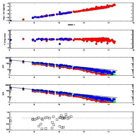
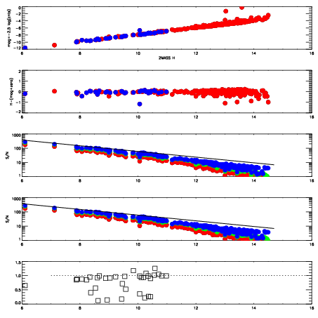
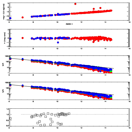
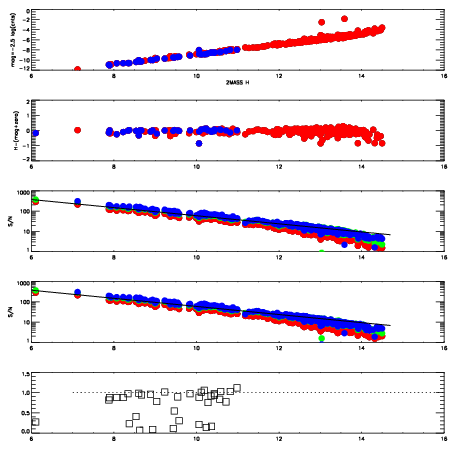
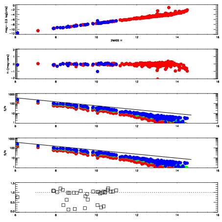
Frame | Nreads | Zeropoints | Mag plots
| Spatial mag deviation
| Spatial sky 16325A emission deviations (filled: sky, open: star)
| Spatial sky continuum emission
| Spatial sky telluric CO2 absorption deviations (filled: H < 10)
|
7560011
| 47
| | Red | Green | Blue
| z | | 18.94
| znorm | | 14.76
| sky | 14.3 | 13.9 | 13.8
| S/N | 14.4 | 23.4 | 24.1
| S/N(c) | 14.7 | 9.7 | 28.4
| SN(E/C) | 0.88
|
|
|
|
|
|
|
7560012
| 47
| | Red | Green | Blue
| z | | 18.81
| znorm | | 14.63
| sky | 14.0 | 13.9 | 13.8
| S/N | 12.3 | 21.0 | 22.6
| S/N(c) | 13.2 | 8.9 | 27.3
| SN(E/C) | 0.89
|
|
|
|
|
|
|
7560013
| 47
| | Red | Green | Blue
| z | | 18.69
| znorm | | 14.51
| sky | 13.9 | 13.8 | 13.7
| S/N | 11.5 | 19.3 | 20.6
| S/N(c) | 12.2 | 8.4 | 25.6
| SN(E/C) | 0.91
|
|
|
|
|
|
|
7560014
| 47
| | Red | Green | Blue
| z | | 18.27
| znorm | | 14.09
| sky | 13.7 | 13.6 | 13.6
| S/N | 7.9 | 14.5 | 15.4
| S/N(c) | 9.3 | 6.7 | 20.2
| SN(E/C) | 0.94
|
|
|
|
|
|
|
7560015
| 47
| | Red | Green | Blue
| z | | 17.59
| znorm | | 13.41
| sky | 13.4 | 13.3 | 13.5
| S/N | 4.4 | 8.6 | 9.2
| S/N(c) | 5.9 | 4.5 | 14.1
| SN(E/C) | 0.98
|
|
|
|
|
|
|
7560016
| 47
| | Red | Green | Blue
| z | | 18.20
| znorm | | 14.02
| sky | 13.6 | 13.6 | 13.7
| S/N | 7.7 | 13.7 | 15.0
| S/N(c) | 9.2 | 6.5 | 20.0
| SN(E/C) | 0.93
|
|
|
|
|
|
|
7560017
| 47
| | Red | Green | Blue
| z | | 17.45
| znorm | | 13.27
| sky | 13.3 | 13.3 | 13.5
| S/N | 3.9 | 7.6 | 8.4
| S/N(c) | 5.5 | 4.2 | 12.9
| SN(E/C) | 1.00
|
|
|
|
|
|
|
7560018
| 47
| | Red | Green | Blue
| z | | 17.91
| znorm | | 13.73
| sky | 13.4 | 13.4 | 13.5
| S/N | 5.4 | 10.8 | 11.7
| S/N(c) | 7.7 | 5.5 | 17.0
| SN(E/C) | 0.91
|
|
|
|
|
|
|