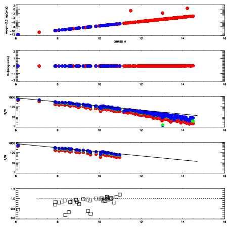
Left plots: red are targets, blue are telluric. Observed mags are calculated from median value of green chip. Zeropoint gives overall throughput: bigger number is more throughput.
First spatial plots: circles are objects, squares are tellurics, crosses are sky fibers. Colors give deviation of observed mag from expected 2MASS mag using the median zeropoint; red is brighter
Second spatial plots: circles are sky fibers. Colors give sky line brightness relative to plate median sky line brightness
FrameNreadsZeropointsMag plots Spatial mag deviation Spatial sky 16325A emission deviations (filled: sky, open: star) Spatial sky continuum emission Spatial sky telluric CO2 absorption deviations (filled: H < 10)
0 0
RedGreenBlue
z17.64
znorm Inf
sky -Inf -Inf -Inf
S/N 16.2 29.2 31.7
S/N(c) 0.0 0.0 0.0
SN(E/C) 0.90

IPAIRNAMESHIFTNEWSHIFTS/N NAMESHIFTNEWSHIFTS/N
0 07560017 0.495411 0.00000 17.4591 07560015 0.00316233 0.492249 17.5929
1 07560012 0.491514 0.00389701 18.8067 07560011 0.00000 0.495411 18.9437
2 07560013 0.493385 0.00202602 18.6947 07560014 0.00424787 0.491163 18.2646
3 07560016 0.493961 0.00145000 18.2112 07560018 0.00834044 0.487071 17.9138