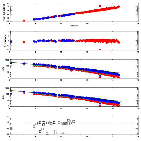
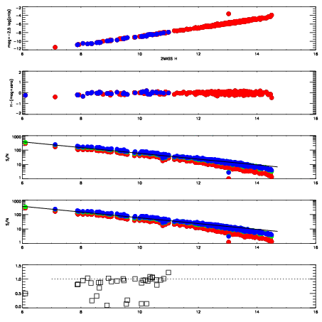
Left plots: red are targets, blue are telluric. Observed mags are calculated from median value of green chip. Zeropoint gives overall throughput: bigger number is more throughput.
First spatial plots: circles are objects, squares are tellurics, crosses are sky fibers. Colors give deviation of observed mag from expected 2MASS mag using the median zeropoint; red is brighter
Second spatial plots: circles are sky fibers. Colors give sky line brightness relative to plate median sky line brightness
FrameNreadsZeropointsMag plots Spatial mag deviation Spatial sky 16325A emission deviations (filled: sky, open: star) Spatial sky continuum emission Spatial sky telluric CO2 absorption deviations (filled: H < 10)
9730024 47
RedGreenBlue
z18.77
znorm14.59
sky 14.6 14.5 14.5
S/N 12.5 21.1 21.8
S/N(c) 31.2 17.8 10.0
SN(E/C) 0.90
9730025 47
RedGreenBlue
z18.89
znorm14.71
sky 14.7 14.7 15.1
S/N 13.5 22.2 23.5
S/N(c) 32.7 18.7 10.5
SN(E/C) 0.93