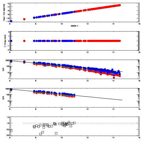
Left plots: red are targets, blue are telluric. Observed mags are calculated from median value of green chip. Zeropoint gives overall throughput: bigger number is more throughput.
First spatial plots: circles are objects, squares are tellurics, crosses are sky fibers. Colors give deviation of observed mag from expected 2MASS mag using the median zeropoint; red is brighter
Second spatial plots: circles are sky fibers. Colors give sky line brightness relative to plate median sky line brightness
FrameNreadsZeropointsMag plots Spatial mag deviation Spatial sky 16325A emission deviations (filled: sky, open: star) Spatial sky continuum emission Spatial sky telluric CO2 absorption deviations (filled: H < 10)
0 0
RedGreenBlue
z17.64
znorm Inf
sky -Inf -Inf -Inf
S/N 24.3 39.9 43.1
S/N(c) 0.0 0.0 0.0
SN(E/C) 0.86

IPAIRNAMESHIFTNEWSHIFTS/N NAMESHIFTNEWSHIFTS/N
0 07020028 0.480523 0.00000 18.8161 07020026 0.00000 0.480523 18.8610
1 07020032 0.476837 0.00368598 18.9346 07020030 0.000451087 0.480072 18.9385
2 07020031 0.476340 0.00418299 18.9300 07020029 0.00249921 0.478024 18.9101
3 07020027 0.479597 0.000925988 18.8761 07020033 0.00416350 0.476359 18.9015