Frame | Nreads | Zeropoints | Mag plots
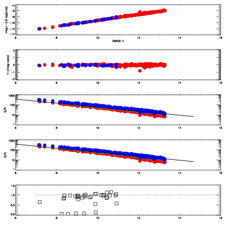
| Spatial mag deviation
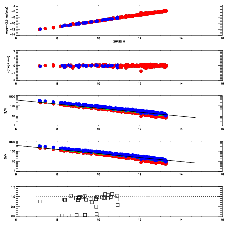
| Spatial sky 16325A emission deviations (filled: sky, open: star)
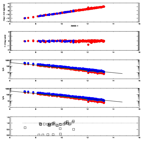
| Spatial sky continuum emission
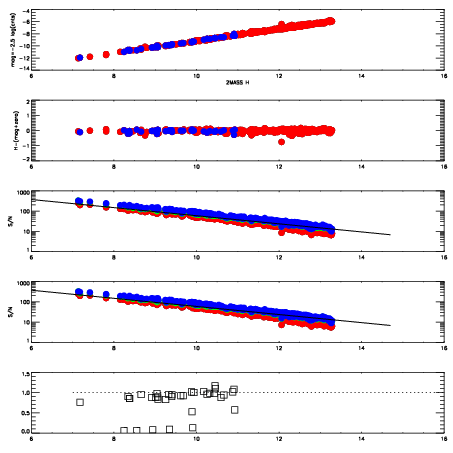
| Spatial sky telluric CO2 absorption deviations (filled: H < 10)
|
6430021
| 47
| | Red | Green | Blue
| z | | 19.20
| znorm | | 15.02
| sky | 14.7 | 14.5 | 14.6
| S/N | 17.2 | 27.7 | 30.0
| S/N(c) | 30.1 | 10.5 | 21.7
| SN(E/C) | 0.92
|
|
|
|
|
|
|
6430022
| 47
| | Red | Green | Blue
| z | | 19.23
| znorm | | 15.05
| sky | 14.9 | 14.5 | 14.9
| S/N | 17.5 | 28.3 | 30.6
| S/N(c) | 30.7 | 10.6 | 22.0
| SN(E/C) | 0.89
|
|
|
|
|
|
|
6430023
| 47
| | Red | Green | Blue
| z | | 19.22
| znorm | | 15.04
| sky | 14.8 | 14.5 | 15.2
| S/N | 17.3 | 28.2 | 30.2
| S/N(c) | 30.2 | 10.5 | 22.0
| SN(E/C) | 0.90
|
|
|
|
|
|
|
6430024
| 47
| | Red | Green | Blue
| z | | 19.25
| znorm | | 15.07
| sky | 14.8 | 14.6 | 15.1
| S/N | 17.6 | 28.5 | 30.7
| S/N(c) | 30.6 | 10.5 | 22.4
| SN(E/C) | 0.92
|
|
|
|
|
|
|
6430025
| 47
| | Red | Green | Blue
| z | | 19.26
| znorm | | 15.07
| sky | 14.7 | 14.7 | 15.0
| S/N | 17.7 | 28.7 | 30.7
| S/N(c) | 30.8 | 10.6 | 22.5
| SN(E/C) | 0.92
|
|
|
|
|
|
|
6430026
| 47
| | Red | Green | Blue
| z | | 19.25
| znorm | | 15.06
| sky | 14.8 | 14.7 | 14.9
| S/N | 17.6 | 28.7 | 30.5
| S/N(c) | 30.4 | 10.4 | 22.5
| SN(E/C) | 0.91
|
|
|
|
|
|
|
6430027
| 47
| | Red | Green | Blue
| z | | 19.23
| znorm | | 15.05
| sky | 14.5 | 14.6 | 15.0
| S/N | 17.5 | 28.4 | 30.3
| S/N(c) | 30.2 | 10.4 | 22.4
| SN(E/C) | 0.91
|
|
|
|
|
|
|
6430028
| 47
| | Red | Green | Blue
| z | | 19.25
| znorm | | 15.07
| sky | 14.6 | 14.6 | 14.9
| S/N | 17.6 | 28.6 | 30.2
| S/N(c) | 30.2 | 10.5 | 22.6
| SN(E/C) | 0.88
|
|
|
|
|
|
|