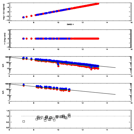
Left plots: red are targets, blue are telluric. Observed mags are calculated from median value of green chip. Zeropoint gives overall throughput: bigger number is more throughput.
First spatial plots: circles are objects, squares are tellurics, crosses are sky fibers. Colors give deviation of observed mag from expected 2MASS mag using the median zeropoint; red is brighter
Second spatial plots: circles are sky fibers. Colors give sky line brightness relative to plate median sky line brightness
FrameNreadsZeropointsMag plots Spatial mag deviation Spatial sky 16325A emission deviations (filled: sky, open: star) Spatial sky continuum emission Spatial sky telluric CO2 absorption deviations (filled: H < 10)
0 0
RedGreenBlue
z17.64
znorm Inf
sky -Inf -NaN -Inf
S/N 27.7 47.3 51.0
S/N(c) 0.0 0.0 0.0
SN(E/C) 0.90

IPAIRNAMESHIFTNEWSHIFTS/N NAMESHIFTNEWSHIFTS/N
0 06690031 0.484981 0.00000 19.0439 06690033 -0.00285533 0.487836 19.0290
1 06690030 0.484478 0.000503004 19.0859 06690029 0.00000 0.484981 19.0353
2 06690035 0.483151 0.00183001 19.0298 06690036 -0.00361444 0.488595 19.0244
3 06690034 0.482724 0.00225699 19.0202 06690032 -0.00367333 0.488654 19.0099