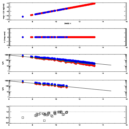
Left plots: red are targets, blue are telluric. Observed mags are calculated from median value of green chip. Zeropoint gives overall throughput: bigger number is more throughput.
First spatial plots: circles are objects, squares are tellurics, crosses are sky fibers. Colors give deviation of observed mag from expected 2MASS mag using the median zeropoint; red is brighter
Second spatial plots: circles are sky fibers. Colors give sky line brightness relative to plate median sky line brightness
FrameNreadsZeropointsMag plots Spatial mag deviation Spatial sky 16325A emission deviations (filled: sky, open: star) Spatial sky continuum emission Spatial sky telluric CO2 absorption deviations (filled: H < 10)
0 0
RedGreenBlue
z17.64
znorm Inf
sky -Inf -NaN -Inf
S/N 28.5 47.9 51.4
S/N(c) 0.0 0.0 0.0
SN(E/C) 0.83

IPAIRNAMESHIFTNEWSHIFTS/N NAMESHIFTNEWSHIFTS/N
0 06610042 0.484694 0.00000 19.1388 06610043 0.00167210 0.483022 19.1034
1 06610038 0.484137 0.000557005 19.1870 06610040 -0.000826419 0.485520 19.1911
2 06610037 0.483431 0.00126299 19.1811 06610036 0.00000 0.484694 19.1865
3 06610041 0.483635 0.00105900 19.1685 06610039 0.00316378 0.481530 19.1659