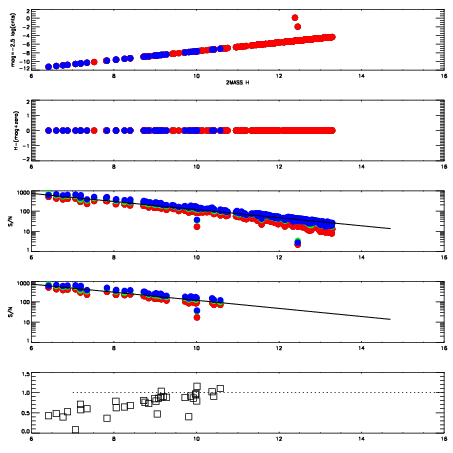
Left plots: red are targets, blue are telluric. Observed mags are calculated from median value of green chip. Zeropoint gives overall throughput: bigger number is more throughput.
First spatial plots: circles are objects, squares are tellurics, crosses are sky fibers. Colors give deviation of observed mag from expected 2MASS mag using the median zeropoint; red is brighter
Second spatial plots: circles are sky fibers. Colors give sky line brightness relative to plate median sky line brightness
FrameNreadsZeropointsMag plots Spatial mag deviation Spatial sky 16325A emission deviations (filled: sky, open: star) Spatial sky continuum emission Spatial sky telluric CO2 absorption deviations (filled: H < 10)
0 0
RedGreenBlue
z17.64
znorm Inf
sky -NaN -Inf -Inf
S/N 24.9 40.7 44.0
S/N(c) 0.0 0.0 0.0
SN(E/C) 0.79

IPAIRNAMESHIFTNEWSHIFTS/N NAMESHIFTNEWSHIFTS/N
0 06660053 0.486970 0.00000 19.0397 06660054 0.000631515 0.486338 19.0393
1 06660052 0.486710 0.000259995 19.0944 06660050 3.97965e-05 0.486930 19.0758
2 06660049 0.485700 0.00127000 19.0674 06660051 -0.000679016 0.487649 19.0607
3 06660048 0.486054 0.000916004 19.0228 06660047 0.00000 0.486970 19.0195