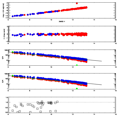
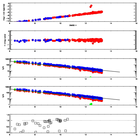
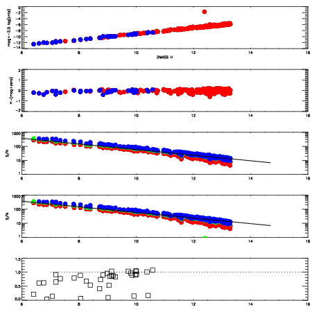
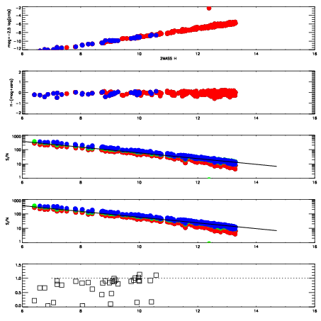
Frame | Nreads | Zeropoints | Mag plots
| Spatial mag deviation
| Spatial sky 16325A emission deviations (filled: sky, open: star)
| Spatial sky continuum emission
| Spatial sky telluric CO2 absorption deviations (filled: H < 10)
|
6930038
| 47
| | Red | Green | Blue
| z | | 19.17
| znorm | | 14.99
| sky | 14.6 | 14.3 | 14.1
| S/N | 16.7 | 24.4 | 25.9
| S/N(c) | 32.8 | 6.4 | 50.0
| SN(E/C) | 0.75
|
|
|
|
|
|
|
6930039
| 47
| | Red | Green | Blue
| z | | 19.10
| znorm | | 14.92
| sky | 14.8 | 14.3 | 14.3
| S/N | 15.9 | 23.5 | 25.1
| S/N(c) | 31.5 | 6.1 | 48.8
| SN(E/C) | 0.79
|
|
|
|
|
|
|
6930040
| 47
| | Red | Green | Blue
| z | | 19.13
| znorm | | 14.95
| sky | 14.5 | 14.3 | 14.3
| S/N | 16.0 | 24.0 | 25.3
| S/N(c) | 32.2 | 6.3 | 49.4
| SN(E/C) | 0.81
|
|
|
|
|
|
|
6930041
| 47
| | Red | Green | Blue
| z | | 19.08
| znorm | | 14.90
| sky | 14.8 | 14.5 | 14.3
| S/N | 15.8 | 23.5 | 24.9
| S/N(c) | 30.9 | 6.2 | 48.3
| SN(E/C) | 0.88
|
|
|
|
|
|
|
6930042
| 47
| | Red | Green | Blue
| z | | 19.13
| znorm | | 14.95
| sky | 14.7 | 14.4 | 14.3
| S/N | 16.2 | 23.8 | 25.7
| S/N(c) | 32.4 | 6.4 | 49.8
| SN(E/C) | 0.83
|
|
|
|
|
|
|
6930043
| 47
| | Red | Green | Blue
| z | | 19.11
| znorm | | 14.93
| sky | 14.5 | 14.6 | 14.3
| S/N | 15.5 | 23.9 | 25.3
| S/N(c) | 31.6 | 6.3 | 49.3
| SN(E/C) | 0.82
|
|
|
|
|
|
|
6930044
| 47
| | Red | Green | Blue
| z | | 19.10
| znorm | | 14.92
| sky | 14.7 | 14.5 | 14.4
| S/N | 15.8 | 23.8 | 25.2
| S/N(c) | 30.9 | 6.3 | 49.3
| SN(E/C) | 0.84
|
|
|
|
|
|
|
6930045
| 47
| | Red | Green | Blue
| z | | 19.11
| znorm | | 14.93
| sky | 14.7 | 14.5 | 14.4
| S/N | 15.5 | 24.2 | 25.7
| S/N(c) | 31.2 | 6.3 | 49.5
| SN(E/C) | 0.83
|
|
|
|
|
|
|
6930046
| 47
| | Red | Green | Blue
| z | | 19.11
| znorm | | 14.93
| sky | 14.9 | 14.6 | 14.4
| S/N | 15.3 | 24.0 | 25.7
| S/N(c) | 31.2 | 6.3 | 50.1
| SN(E/C) | 0.84
|
|
|
|
|
|
|
6930047
| 47
| | Red | Green | Blue
| z | | 19.14
| znorm | | 14.96
| sky | 14.7 | 14.6 | 14.4
| S/N | 15.3 | 25.1 | 26.6
| S/N(c) | 31.7 | 6.4 | 50.3
| SN(E/C) | 0.79
|
|
|
|
|
|
|