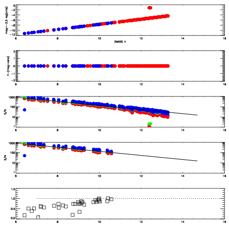
Left plots: red are targets, blue are telluric. Observed mags are calculated from median value of green chip. Zeropoint gives overall throughput: bigger number is more throughput.
First spatial plots: circles are objects, squares are tellurics, crosses are sky fibers. Colors give deviation of observed mag from expected 2MASS mag using the median zeropoint; red is brighter
Second spatial plots: circles are sky fibers. Colors give sky line brightness relative to plate median sky line brightness
FrameNreadsZeropointsMag plots Spatial mag deviation Spatial sky 16325A emission deviations (filled: sky, open: star) Spatial sky continuum emission Spatial sky telluric CO2 absorption deviations (filled: H < 10)
0 0
RedGreenBlue
z17.64
znorm Inf
sky -Inf -NaN -Inf
S/N 31.6 49.1 55.3
S/N(c) 0.0 0.0 0.0
SN(E/C) 0.73

IPAIRNAMESHIFTNEWSHIFTS/N NAMESHIFTNEWSHIFTS/N
0 06930044 0.499491 0.00000 19.0803 06930041 0.00638484 0.493106 19.0685
1 06930047 0.498958 0.000533015 19.1292 06930038 0.00000 0.499491 19.1712
2 06930040 0.498811 0.000680000 19.1269 06930042 0.00159264 0.497898 19.1131
3 06930043 0.499255 0.000236005 19.0915 06930045 0.00404632 0.495445 19.0993
4 06930039 0.498226 0.00126502 19.0914 06930046 0.00168825 0.497803 19.0884