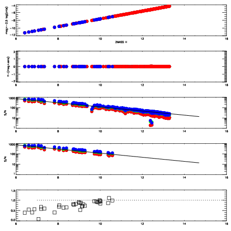
Left plots: red are targets, blue are telluric. Observed mags are calculated from median value of green chip. Zeropoint gives overall throughput: bigger number is more throughput.
First spatial plots: circles are objects, squares are tellurics, crosses are sky fibers. Colors give deviation of observed mag from expected 2MASS mag using the median zeropoint; red is brighter
Second spatial plots: circles are sky fibers. Colors give sky line brightness relative to plate median sky line brightness
FrameNreadsZeropointsMag plots Spatial mag deviation Spatial sky 16325A emission deviations (filled: sky, open: star) Spatial sky continuum emission Spatial sky telluric CO2 absorption deviations (filled: H < 10)
0 0
RedGreenBlue
z17.64
znorm Inf
sky -Inf -Inf -Inf
S/N 26.9 43.9 46.6
S/N(c) 0.0 0.0 0.0
SN(E/C) 0.77

IPAIRNAMESHIFTNEWSHIFTS/N NAMESHIFTNEWSHIFTS/N
0 06670054 0.474794 0.00000 19.0389 06670052 -0.000866203 0.475660 19.0257
1 06670053 0.474452 0.000342011 19.0434 06670055 -0.000579370 0.475373 19.0669
2 06670050 0.474711 8.29995e-05 19.0100 06670051 0.00155221 0.473242 19.0208
3 06670049 0.474185 0.000609010 18.9736 06670048 0.00000 0.474794 18.9707