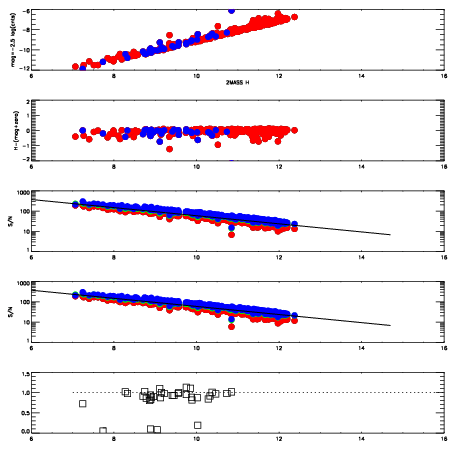
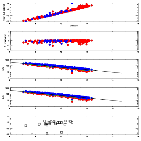
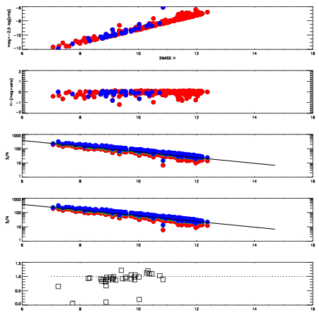
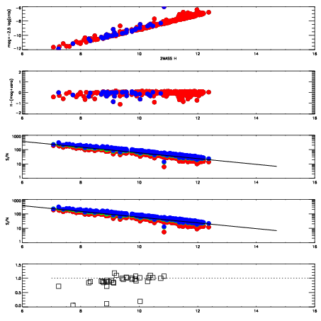
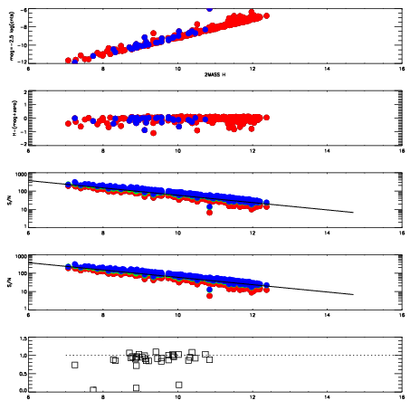
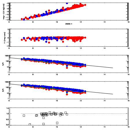
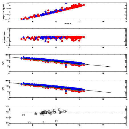
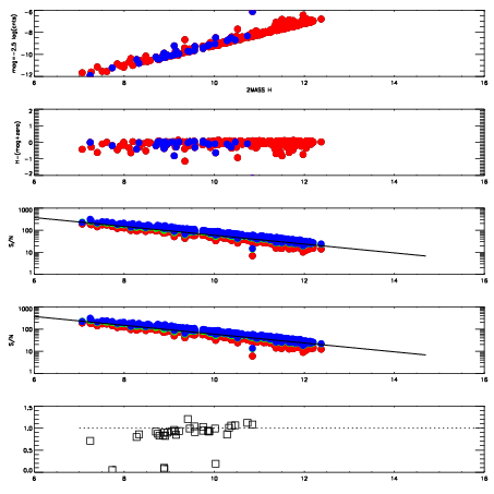
Frame | Nreads | Zeropoints | Mag plots
| Spatial mag deviation
| Spatial sky 16325A emission deviations (filled: sky, open: star)
| Spatial sky continuum emission
| Spatial sky telluric CO2 absorption deviations (filled: H < 10)
|
6470019
| 47
| | Red | Green | Blue
| z | | 19.10
| znorm | | 14.92
| sky | 14.8 | 14.9 | 14.9
| S/N | 16.5 | 26.3 | 27.0
| S/N(c) | 22.6 | 22.8 | 8.5
| SN(E/C) | 0.93
|
|
|
|
|
|
|
6470020
| 47
| | Red | Green | Blue
| z | | 19.14
| znorm | | 14.96
| sky | 15.0 | 15.1 | 15.1
| S/N | 16.7 | 26.4 | 27.6
| S/N(c) | 22.9 | 23.0 | 8.7
| SN(E/C) | 0.92
|
|
|
|
|
|
|
6470021
| 47
| | Red | Green | Blue
| z | | 19.14
| znorm | | 14.96
| sky | 14.8 | 14.9 | 15.3
| S/N | 16.4 | 26.4 | 27.6
| S/N(c) | 22.8 | 23.0 | 8.8
| SN(E/C) | 0.92
|
|
|
|
|
|
|
6470022
| 47
| | Red | Green | Blue
| z | | 19.13
| znorm | | 14.95
| sky | 14.8 | 15.0 | 15.2
| S/N | 16.2 | 26.1 | 27.3
| S/N(c) | 22.8 | 22.9 | 8.9
| SN(E/C) | 0.95
|
|
|
|
|
|
|
6470023
| 47
| | Red | Green | Blue
| z | | 19.12
| znorm | | 14.94
| sky | 14.9 | 15.1 | 15.3
| S/N | 16.4 | 26.1 | 27.3
| S/N(c) | 22.9 | 23.0 | 8.8
| SN(E/C) | 0.92
|
|
|
|
|
|
|
6470024
| 47
| | Red | Green | Blue
| z | | 19.12
| znorm | | 14.94
| sky | 15.1 | 15.1 | 15.2
| S/N | 16.3 | 26.0 | 27.3
| S/N(c) | 22.8 | 22.9 | 8.7
| SN(E/C) | 0.92
|
|
|
|
|
|
|
6470025
| 47
| | Red | Green | Blue
| z | | 19.14
| znorm | | 14.96
| sky | 15.3 | 15.2 | 15.1
| S/N | 16.1 | 26.2 | 27.4
| S/N(c) | 22.7 | 23.2 | 8.9
| SN(E/C) | 0.93
|
|
|
|
|
|
|
6470026
| 47
| | Red | Green | Blue
| z | | 19.09
| znorm | | 14.91
| sky | 14.9 | 15.0 | 15.1
| S/N | 15.7 | 25.7 | 26.6
| S/N(c) | 22.1 | 22.6 | 8.7
| SN(E/C) | 0.93
|
|
|
|
|
|
|