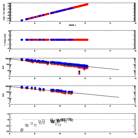
Left plots: red are targets, blue are telluric. Observed mags are calculated from median value of green chip. Zeropoint gives overall throughput: bigger number is more throughput.
First spatial plots: circles are objects, squares are tellurics, crosses are sky fibers. Colors give deviation of observed mag from expected 2MASS mag using the median zeropoint; red is brighter
Second spatial plots: circles are sky fibers. Colors give sky line brightness relative to plate median sky line brightness
FrameNreadsZeropointsMag plots Spatial mag deviation Spatial sky 16325A emission deviations (filled: sky, open: star) Spatial sky continuum emission Spatial sky telluric CO2 absorption deviations (filled: H < 10)
0 0
RedGreenBlue
z17.64
znorm Inf
sky -Inf -NaN -Inf
S/N 29.7 50.0 53.4
S/N(c) 0.0 0.0 0.0
SN(E/C) 0.87

IPAIRNAMESHIFTNEWSHIFTS/N NAMESHIFTNEWSHIFTS/N
0 06440050 0.467651 0.00000 19.1608 06440052 -0.00310979 0.470761 19.1486
1 06440053 0.465433 0.00221801 19.1634 06440048 0.00000 0.467651 19.1630
2 06440049 0.466807 0.000844002 19.1590 06440051 -0.00135170 0.469003 19.1398
3 06440054 0.466319 0.00133201 19.1360 06440055 -0.00230882 0.469960 19.1329