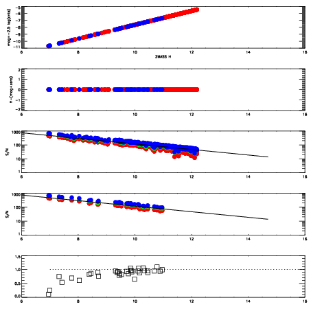
Left plots: red are targets, blue are telluric. Observed mags are calculated from median value of green chip. Zeropoint gives overall throughput: bigger number is more throughput.
First spatial plots: circles are objects, squares are tellurics, crosses are sky fibers. Colors give deviation of observed mag from expected 2MASS mag using the median zeropoint; red is brighter
Second spatial plots: circles are sky fibers. Colors give sky line brightness relative to plate median sky line brightness
FrameNreadsZeropointsMag plots Spatial mag deviation Spatial sky 16325A emission deviations (filled: sky, open: star) Spatial sky continuum emission Spatial sky telluric CO2 absorption deviations (filled: H < 10)
0 0
RedGreenBlue
z17.64
znorm Inf
sky -Inf -NaN -Inf
S/N 26.9 46.2 48.4
S/N(c) 0.0 0.0 0.0
SN(E/C) 0.90

IPAIRNAMESHIFTNEWSHIFTS/N NAMESHIFTNEWSHIFTS/N
0 06670076 0.474474 0.00000 19.0384 06670070 0.00000 0.474474 19.0633
1 06670072 0.472600 0.00187400 19.0896 06670073 -0.000406122 0.474880 19.0865
2 06670075 0.473654 0.000820011 19.0688 06670074 -0.000871592 0.475346 19.0659
3 06670071 0.472171 0.00230300 19.0033 06670077 -0.00129326 0.475767 18.8600