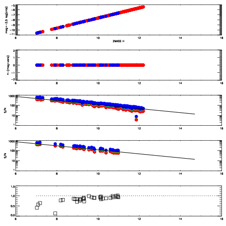
Left plots: red are targets, blue are telluric. Observed mags are calculated from median value of green chip. Zeropoint gives overall throughput: bigger number is more throughput.
First spatial plots: circles are objects, squares are tellurics, crosses are sky fibers. Colors give deviation of observed mag from expected 2MASS mag using the median zeropoint; red is brighter
Second spatial plots: circles are sky fibers. Colors give sky line brightness relative to plate median sky line brightness
FrameNreadsZeropointsMag plots Spatial mag deviation Spatial sky 16325A emission deviations (filled: sky, open: star) Spatial sky continuum emission Spatial sky telluric CO2 absorption deviations (filled: H < 10)
0 0
RedGreenBlue
z17.64
znorm Inf
sky -Inf -NaN -Inf
S/N 28.6 48.2 52.7
S/N(c) 0.0 0.0 0.0
SN(E/C) 0.87

IPAIRNAMESHIFTNEWSHIFTS/N NAMESHIFTNEWSHIFTS/N
0 06970063 0.487070 0.00000 19.1077 06970065 -0.00109884 0.488169 19.1253
1 06970067 0.486003 0.00106698 19.1843 06970068 -0.00151752 0.488588 19.1638
2 06970066 0.484375 0.00269499 19.1607 06970064 -5.69390e-05 0.487127 19.1494
3 06970062 0.486494 0.000575989 19.0856 06970061 0.00000 0.487070 19.0836