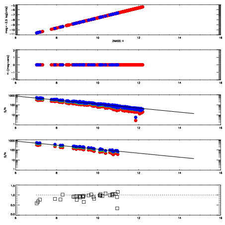
Left plots: red are targets, blue are telluric. Observed mags are calculated from median value of green chip. Zeropoint gives overall throughput: bigger number is more throughput.
First spatial plots: circles are objects, squares are tellurics, crosses are sky fibers. Colors give deviation of observed mag from expected 2MASS mag using the median zeropoint; red is brighter
Second spatial plots: circles are sky fibers. Colors give sky line brightness relative to plate median sky line brightness
FrameNreadsZeropointsMag plots Spatial mag deviation Spatial sky 16325A emission deviations (filled: sky, open: star) Spatial sky continuum emission Spatial sky telluric CO2 absorption deviations (filled: H < 10)
0 0
RedGreenBlue
z17.64
znorm Inf
sky -NaN -Inf -NaN
S/N 19.7 35.5 37.3
S/N(c) 0.0 0.0 0.0
SN(E/C) 0.94

IPAIRNAMESHIFTNEWSHIFTS/N NAMESHIFTNEWSHIFTS/N
0 07040028 0.469294 0.00000 18.7929 07040026 0.00000 0.469294 18.8229
1 07040027 0.468036 0.00125802 18.7723 07040029 -0.00155815 0.470852 18.6516
2 07040031 0.466534 0.00276002 18.3697 07040030 0.00100420 0.468290 18.5046
3 07040032 0.467359 0.00193501 18.2919 07040033 -0.000148989 0.469443 18.4199