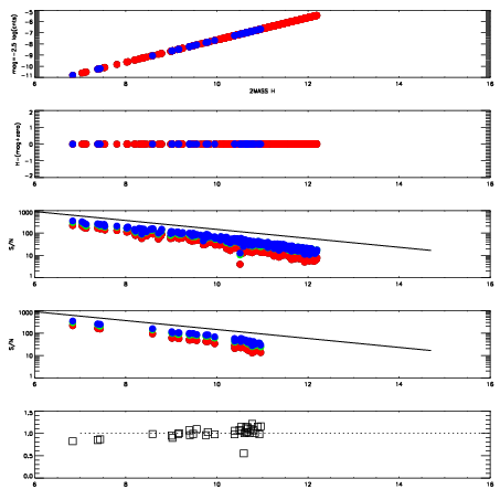
Left plots: red are targets, blue are telluric. Observed mags are calculated from median value of green chip. Zeropoint gives overall throughput: bigger number is more throughput.
First spatial plots: circles are objects, squares are tellurics, crosses are sky fibers. Colors give deviation of observed mag from expected 2MASS mag using the median zeropoint; red is brighter
Second spatial plots: circles are sky fibers. Colors give sky line brightness relative to plate median sky line brightness
FrameNreadsZeropointsMag plots Spatial mag deviation Spatial sky 16325A emission deviations (filled: sky, open: star) Spatial sky continuum emission Spatial sky telluric CO2 absorption deviations (filled: H < 10)
0 0
RedGreenBlue
z17.64
znorm Inf
sky -Inf -Inf -NaN
S/N 7.3 15.5 14.8
S/N(c) 0.0 0.0 0.0
SN(E/C) 1.01

IPAIRNAMESHIFTNEWSHIFTS/N NAMESHIFTNEWSHIFTS/N
0 10930041 0.512940 0.00000 16.6486 10930042 0.000632753 0.512307 15.9897
1 10930040 0.512026 0.000913978 17.7315 10930039 -0.000291966 0.513232 17.8444
2 10930037 0.512044 0.000895977 17.2137 10930038 -0.000441851 0.513382 17.4595
3 10930045 0.512172 0.000768006 16.6787 10930046 -0.00103217 0.513972 16.3447
4 10930044 0.512642 0.000297964 16.6717 10930043 0.000992954 0.511947 16.3363
5 10930036 0.511448 0.00149196 16.1534 10930035 0.00000 0.512940 15.1399