PLATE:6331 MJD: 56656 FIELD: 229+04

FrameCartsec zseeingNreadsDitherPixshiftZerosky continuumS/NS/N(cframe)
10940050 9 1.42 1.88 47 0.00 -0.00 18.56 [15.30,14.80,14.62] [ 11.1, 18.8, 18.9] [ 11.5, 9.0, 6.2]
10940051 9 1.43 2.24 47 0.51 -0.00 18.79 [15.02,14.74,14.97] [ 12.6, 21.2, 22.5] [ 12.8, 9.9, 7.1]
10940052 9 1.44 1.90 47 0.51 -0.00 18.72 [15.31,14.81,14.90] [ 12.1, 20.4, 21.7] [ 12.3, 9.5, 6.7]
10940053 9 1.45 2.14 47 0.05 -0.00 18.75 [15.32,15.01,14.89] [ 12.6, 20.8, 22.2] [ 12.4, 9.7, 6.9]
10940054 9 1.47 2.33 47 0.05 0.00 18.70 [15.29,14.84,15.11] [ 12.1, 20.3, 21.2] [ 12.1, 9.3, 6.7]
10940055 9 1.49 1.98 47 0.57 0.00 18.75 [15.01,14.92,14.95] [ 12.3, 20.9, 21.9] [ 12.3, 9.6, 6.9]
10940056 9 1.51 2.02 47 0.57 -0.00 18.79 [14.93,14.75,14.94] [ 12.4, 21.6, 22.2] [ 12.6, 9.8, 7.1]
10940057 9 1.53 1.90 47 0.05 -0.00 18.82 [15.15,14.96,14.76] [ 12.4, 21.6, 22.3] [ 12.4, 9.7, 7.0]

IPAIRNAMESHIFTNEWSHIFTS/N NAMESHIFTNEWSHIFTS/N
0 10940055 0.572 0.000 18.73 10940054 0.053 0.519 18.69
1 10940056 0.572 0.000 18.79 10940057 0.052 0.520 18.81
2 10940051 0.508 0.064 18.78 10940053 0.053 0.519 18.74
3 10940052 0.508 0.064 18.71 10940050 0.000 0.572 18.55

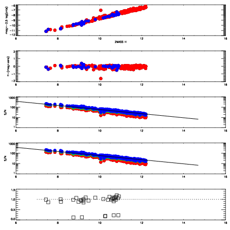
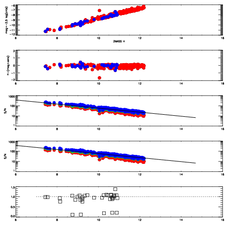
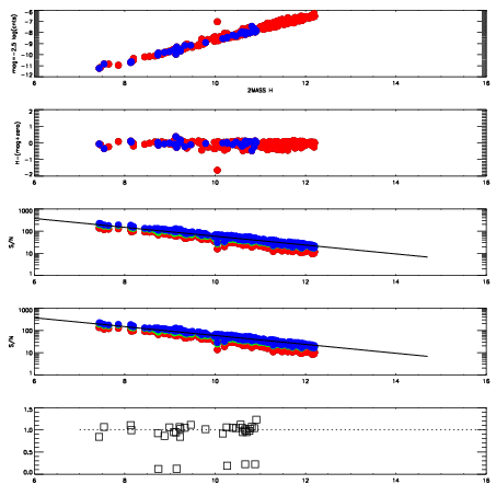
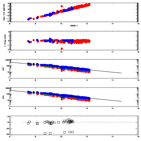
Visit (multiple exposure and dither combined) spectra

FrameZeropointsMag plots Spatial mag deviation Spatial sky telluric CH4 Spatial sky telluric CO2 Spatial sky telluric H2O Spatial sky 16325A emission deviations (filled: sky, open: star) Spatial sky continuum emission
10940050
RedGreenBlue
z18.56
znorm14.38
sky 15.3 14.8 14.6
S/N 11.1 18.8 18.9
S/N(c) 11.5 9.0 6.2
SN(E/C) 0.98
10940051
RedGreenBlue
z18.79
znorm14.61
sky 15.0 14.7 15.0
S/N 12.6 21.2 22.5
S/N(c) 12.8 9.9 7.1
SN(E/C) 0.98
10940052
RedGreenBlue
z18.72
znorm14.54
sky 15.3 14.8 14.9
S/N 12.1 20.4 21.7
S/N(c) 12.3 9.5 6.7
SN(E/C) 1.01
10940053
RedGreenBlue
z18.75
znorm14.57
sky 15.3 15.0 14.9
S/N 12.6 20.8 22.2
S/N(c) 12.4 9.7 6.9
SN(E/C) 0.98
10940054
RedGreenBlue
z18.70
znorm14.52
sky 15.3 14.8 15.1
S/N 12.1 20.3 21.2
S/N(c) 12.1 9.3 6.7
SN(E/C) 0.98
10940055
RedGreenBlue
z18.75
znorm14.57
sky 15.0 14.9 15.0
S/N 12.3 20.9 21.9
S/N(c) 12.3 9.6 6.9
SN(E/C) 0.94
10940056
RedGreenBlue
z18.79
znorm14.61
sky 14.9 14.8 14.9
S/N 12.4 21.6 22.2
S/N(c) 12.6 9.8 7.1
SN(E/C) 0.99
10940057
RedGreenBlue
z18.82
znorm14.64
sky 15.2 15.0 14.8
S/N 12.4 21.6 22.3
S/N(c) 12.4 9.7 7.0
SN(E/C) 0.97