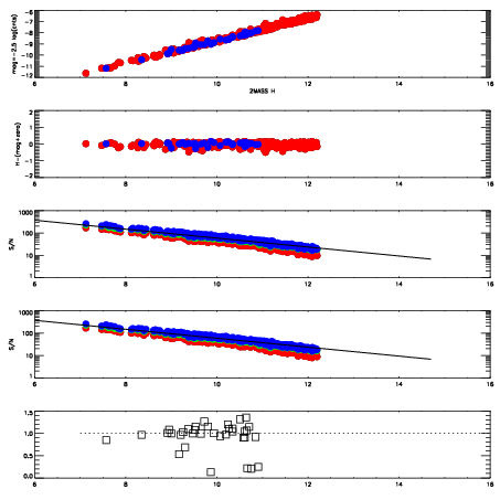
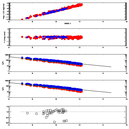
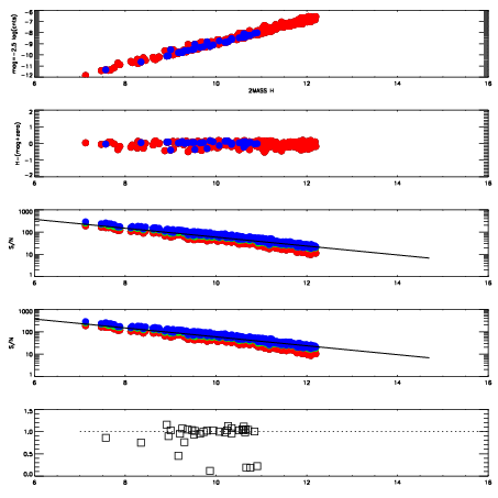
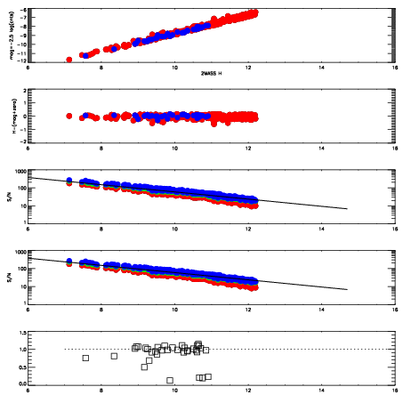
Frame | Nreads | Zeropoints | Mag plots
| Spatial mag deviation
| Spatial sky 16325A emission deviations (filled: sky, open: star)
| Spatial sky continuum emission
| Spatial sky telluric CO2 absorption deviations (filled: H < 10)
|
7280059
| 47
| | Red | Green | Blue
| z | | 18.89
| znorm | | 14.71
| sky | 15.1 | 14.5 | 14.4
| S/N | 13.7 | 22.7 | 23.9
| S/N(c) | 20.8 | 15.4 | 22.4
| SN(E/C) | 0.98
|
|
|
|
|
|
|
7280060
| 47
| | Red | Green | Blue
| z | | 18.93
| znorm | | 14.75
| sky | 14.6 | 14.5 | 14.8
| S/N | 13.9 | 23.1 | 24.5
| S/N(c) | 21.1 | 15.6 | 23.0
| SN(E/C) | 1.00
|
|
|
|
|
|
|
7280061
| 47
| | Red | Green | Blue
| z | | 18.94
| znorm | | 14.76
| sky | 14.9 | 14.6 | 14.7
| S/N | 13.3 | 23.1 | 24.5
| S/N(c) | 21.0 | 15.6 | 23.0
| SN(E/C) | 0.99
|
|
|
|
|
|
|
7280062
| 47
| | Red | Green | Blue
| z | | 18.95
| znorm | | 14.77
| sky | 15.3 | 14.6 | 14.7
| S/N | 13.7 | 22.9 | 24.4
| S/N(c) | 21.2 | 15.8 | 23.4
| SN(E/C) | 0.97
|
|
|
|
|
|
|
7280063
| 47
| | Red | Green | Blue
| z | | 18.73
| znorm | | 14.55
| sky | 15.1 | 14.8 | 14.8
| S/N | 11.6 | 20.3 | 21.3
| S/N(c) | 18.6 | 14.1 | 20.9
| SN(E/C) | 1.00
|
|
|
|
|
|
|
7280064
| 47
| | Red | Green | Blue
| z | | 18.84
| znorm | | 14.66
| sky | 15.0 | 14.7 | 14.9
| S/N | 12.4 | 21.1 | 22.4
| S/N(c) | 19.9 | 14.9 | 22.2
| SN(E/C) | 0.98
|
|
|
|
|
|
|
7280065
| 47
| | Red | Green | Blue
| z | | 18.80
| znorm | | 14.62
| sky | 15.3 | 14.8 | 14.8
| S/N | 12.1 | 20.4 | 21.4
| S/N(c) | 19.5 | 14.6 | 21.7
| SN(E/C) | 0.97
|
|
|
|
|
|
|
7280066
| 47
| | Red | Green | Blue
| z | | 18.69
| znorm | | 14.51
| sky | 15.1 | 14.8 | 14.9
| S/N | 11.2 | 19.0 | 20.2
| S/N(c) | 18.3 | 13.9 | 20.6
| SN(E/C) | 1.00
|
|
|
|
|
|
|