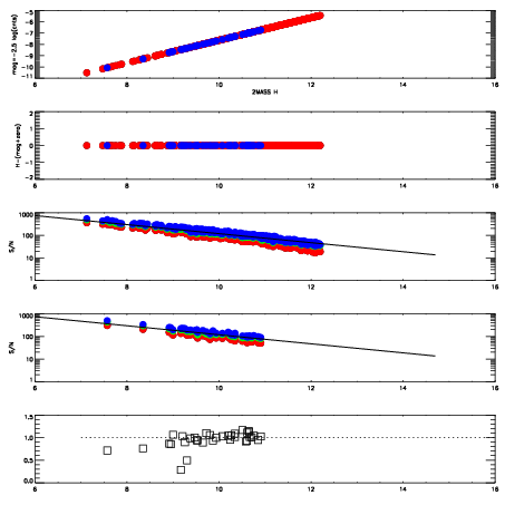
Left plots: red are targets, blue are telluric. Observed mags are calculated from median value of green chip. Zeropoint gives overall throughput: bigger number is more throughput.
First spatial plots: circles are objects, squares are tellurics, crosses are sky fibers. Colors give deviation of observed mag from expected 2MASS mag using the median zeropoint; red is brighter
Second spatial plots: circles are sky fibers. Colors give sky line brightness relative to plate median sky line brightness
FrameNreadsZeropointsMag plots Spatial mag deviation Spatial sky 16325A emission deviations (filled: sky, open: star) Spatial sky continuum emission Spatial sky telluric CO2 absorption deviations (filled: H < 10)
0 0
RedGreenBlue
z17.64
znorm Inf
sky -Inf -Inf -Inf
S/N 22.2 40.0 43.1
S/N(c) 0.0 0.0 0.0
SN(E/C) 1.00

IPAIRNAMESHIFTNEWSHIFTS/N NAMESHIFTNEWSHIFTS/N
0 07280065 0.490719 0.00000 18.7802 07280066 0.00432665 0.486392 18.6726
1 07280061 0.488640 0.00207898 18.9219 07280062 0.00157927 0.489140 18.9366
2 07280060 0.488420 0.00229898 18.9140 07280059 0.00000 0.490719 18.8791
3 07280064 0.488822 0.00189698 18.8281 07280063 -2.90548e-05 0.490748 18.7070