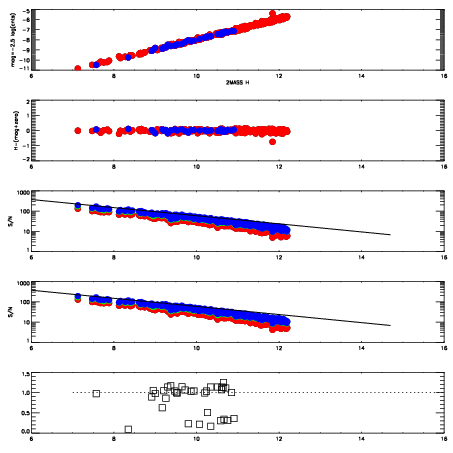
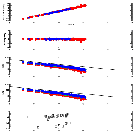
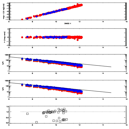
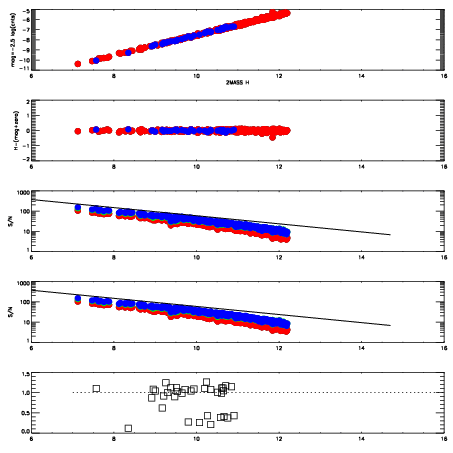
Left plots: red are targets, blue are telluric. Observed mags are calculated from median value of green chip. Zeropoint gives overall throughput: bigger number is more throughput.
First spatial plots: circles are objects, squares are tellurics, crosses are sky fibers. Colors give deviation of observed mag from expected 2MASS mag using the median zeropoint; red is brighter
Second spatial plots: circles are sky fibers. Colors give sky line brightness relative to plate median sky line brightness
FrameNreadsZeropointsMag plots Spatial mag deviation Spatial sky 16325A emission deviations (filled: sky, open: star) Spatial sky continuum emission Spatial sky telluric CO2 absorption deviations (filled: H < 10)
10340011 47
RedGreenBlue
z18.01
znorm13.83
sky 14.6 14.5 14.3
S/N 7.0 12.8 12.9
S/N(c) 10.6 9.6 13.4
SN(E/C) 0.94
10340012 47
RedGreenBlue
z17.55
znorm13.37
sky 14.7 14.8 14.8
S/N 5.0 10.0 9.8
S/N(c) 7.6 7.3 10.3
SN(E/C) 1.02
10340013 47
RedGreenBlue
z17.98
znorm13.80
sky 15.0 14.8 14.7
S/N 6.9 12.8 13.1
S/N(c) 10.1 9.2 12.9
SN(E/C) 1.00
10340014 47
RedGreenBlue
z17.30
znorm13.12
sky 14.9 15.1 14.8
S/N 3.7 8.1 7.8
S/N(c) 6.2 6.3 8.8
SN(E/C) 1.04