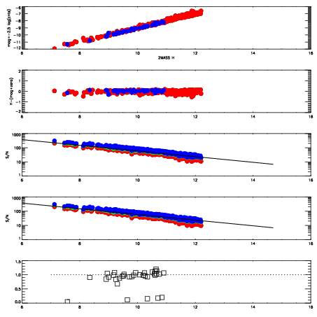
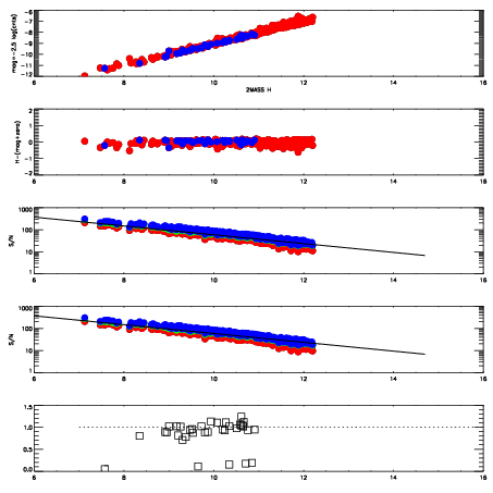
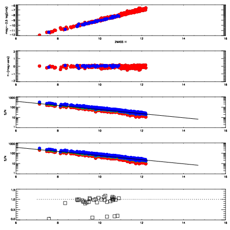
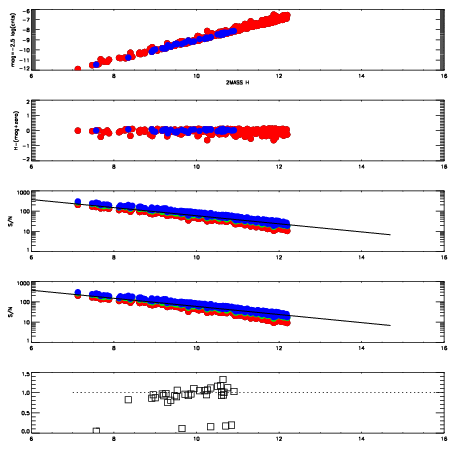
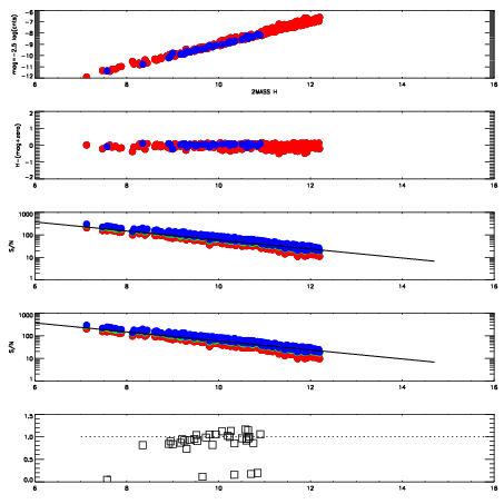
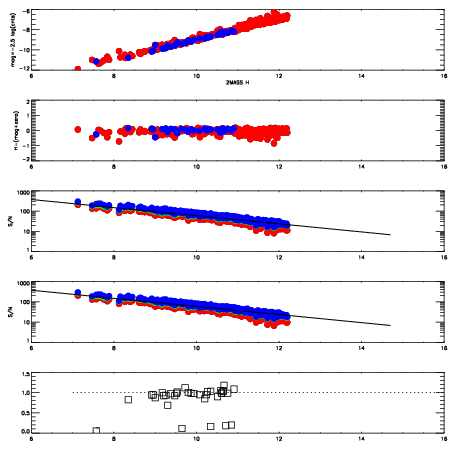
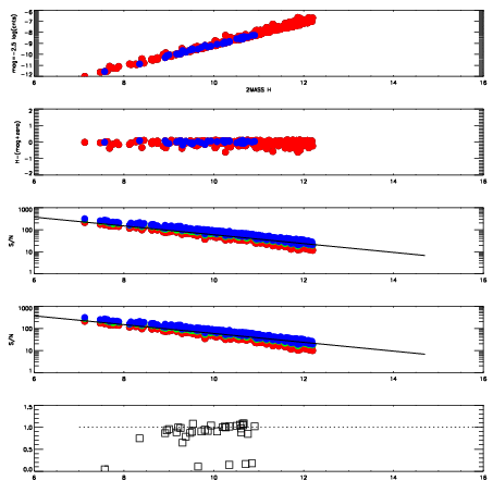
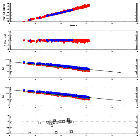
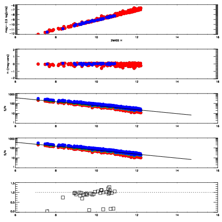
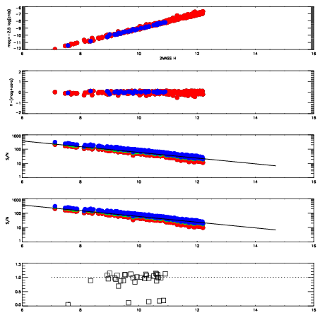
Frame | Nreads | Zeropoints | Mag plots
| Spatial mag deviation
| Spatial sky 16325A emission deviations (filled: sky, open: star)
| Spatial sky continuum emission
| Spatial sky telluric CO2 absorption deviations (filled: H < 10)
|
10800072
| 47
| | Red | Green | Blue
| z | | 18.95
| znorm | | 14.77
| sky | 14.8 | 14.2 | 14.1
| S/N | 14.2 | 22.7 | 23.7
| S/N(c) | 18.8 | 19.8 | 14.8
| SN(E/C) | 0.97
|
|
|
|
|
|
|
10800073
| 47
| | Red | Green | Blue
| z | | 19.01
| znorm | | 14.83
| sky | 14.6 | 14.2 | 14.3
| S/N | 15.2 | 24.0 | 25.2
| S/N(c) | 19.3 | 20.1 | 15.2
| SN(E/C) | 0.97
|
|
|
|
|
|
|
10800074
| 47
| | Red | Green | Blue
| z | | 19.04
| znorm | | 14.86
| sky | 14.7 | 14.2 | 14.3
| S/N | 15.0 | 24.3 | 25.4
| S/N(c) | 19.6 | 20.3 | 15.7
| SN(E/C) | 0.95
|
|
|
|
|
|
|
10800075
| 47
| | Red | Green | Blue
| z | | 19.03
| znorm | | 14.85
| sky | 14.7 | 14.4 | 14.3
| S/N | 15.2 | 24.1 | 25.4
| S/N(c) | 19.6 | 20.3 | 15.6
| SN(E/C) | 0.98
|
|
|
|
|
|
|
10800076
| 47
| | Red | Green | Blue
| z | | 19.02
| znorm | | 14.84
| sky | 14.6 | 14.4 | 14.3
| S/N | 15.0 | 24.0 | 25.3
| S/N(c) | 19.3 | 20.0 | 15.7
| SN(E/C) | 0.97
|
|
|
|
|
|
|
10800077
| 47
| | Red | Green | Blue
| z | | 19.02
| znorm | | 14.84
| sky | 14.6 | 14.3 | 14.4
| S/N | 14.8 | 23.7 | 25.1
| S/N(c) | 19.2 | 20.1 | 15.5
| SN(E/C) | 0.93
|
|
|
|
|
|
|
10800078
| 47
| | Red | Green | Blue
| z | | 19.03
| znorm | | 14.85
| sky | 14.7 | 14.3 | 14.3
| S/N | 15.1 | 23.8 | 25.1
| S/N(c) | 19.5 | 20.2 | 15.8
| SN(E/C) | 0.98
|
|
|
|
|
|
|
10800079
| 47
| | Red | Green | Blue
| z | | 19.06
| znorm | | 14.88
| sky | 14.7 | 14.4 | 14.3
| S/N | 15.2 | 23.9 | 25.6
| S/N(c) | 20.1 | 20.6 | 16.1
| SN(E/C) | 0.98
|
|
|
|
|
|
|
10800080
| 47
| | Red | Green | Blue
| z | | 19.12
| znorm | | 14.94
| sky | 14.5 | 14.3 | 14.4
| S/N | 15.0 | 24.1 | 25.7
| S/N(c) | 20.6 | 21.2 | 16.7
| SN(E/C) | 0.95
|
|
|
|
|
|
|
10800081
| 47
| | Red | Green | Blue
| z | | 19.12
| znorm | | 14.94
| sky | 14.4 | 14.3 | 14.3
| S/N | 14.9 | 24.0 | 25.1
| S/N(c) | 20.6 | 21.2 | 16.6
| SN(E/C) | 0.96
|
|
|
|
|
|
|
10800082
| 47
| | Red | Green | Blue
| z | | 19.13
| znorm | | 14.95
| sky | 14.6 | 14.4 | 14.4
| S/N | 15.0 | 23.9 | 25.6
| S/N(c) | 20.6 | 21.2 | 16.6
| SN(E/C) | 0.93
|
|
|
|
|
|
|
10800083
| 47
| | Red | Green | Blue
| z | | 19.02
| znorm | | 14.84
| sky | 14.6 | 14.3 | 14.3
| S/N | 13.5 | 21.9 | 23.2
| S/N(c) | 19.0 | 19.8 | 15.7
| SN(E/C) | 0.94
|
|
|
|
|
|
|