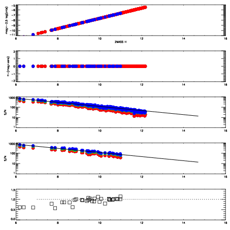
Left plots: red are targets, blue are telluric. Observed mags are calculated from median value of green chip. Zeropoint gives overall throughput: bigger number is more throughput.
First spatial plots: circles are objects, squares are tellurics, crosses are sky fibers. Colors give deviation of observed mag from expected 2MASS mag using the median zeropoint; red is brighter
Second spatial plots: circles are sky fibers. Colors give sky line brightness relative to plate median sky line brightness
FrameNreadsZeropointsMag plots Spatial mag deviation Spatial sky 16325A emission deviations (filled: sky, open: star) Spatial sky continuum emission Spatial sky telluric CO2 absorption deviations (filled: H < 10)
0 0
RedGreenBlue
z17.64
znorm Inf
sky -Inf -Inf -Inf
S/N 19.6 35.0 37.1
S/N(c) 0.0 0.0 0.0
SN(E/C) 0.97

IPAIRNAMESHIFTNEWSHIFTS/N NAMESHIFTNEWSHIFTS/N
0 07020050 0.475122 0.00000 18.8365 07020051 0.00292308 0.472199 18.8118
1 07020049 0.474204 0.000918001 18.7660 07020052 0.00170936 0.473413 18.7359
2 07020053 0.472972 0.00215000 18.4225 07020048 0.00000 0.475122 18.6630
3 07020054 0.472510 0.00261199 18.1624 07020055 1.97151e-05 0.475102 18.3367