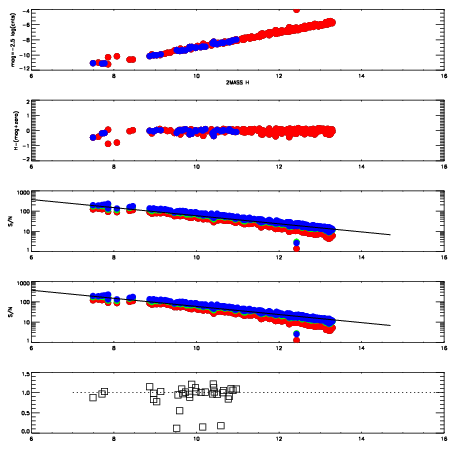
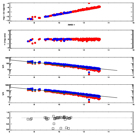
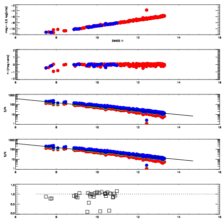
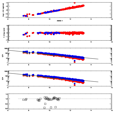
Frame | Nreads | Zeropoints | Mag plots
| Spatial mag deviation
| Spatial sky 16325A emission deviations (filled: sky, open: star)
| Spatial sky continuum emission
| Spatial sky telluric CO2 absorption deviations (filled: H < 10)
|
6430058
| 47
| | Red | Green | Blue
| z | | 19.03
| znorm | | 14.85
| sky | 14.8 | 14.6 | 14.7
| S/N | 14.5 | 22.7 | 24.2
| S/N(c) | 25.1 | 47.3 | 11.5
| SN(E/C) | 0.97
|
|
|
|
|
|
|
6430059
| 47
| | Red | Green | Blue
| z | | 19.03
| znorm | | 14.85
| sky | 14.6 | 14.5 | 15.0
| S/N | 14.6 | 22.7 | 24.5
| S/N(c) | 25.0 | 47.6 | 11.5
| SN(E/C) | 0.96
|
|
|
|
|
|
|
6430060
| 47
| | Red | Green | Blue
| z | | 19.03
| znorm | | 14.85
| sky | 14.7 | 14.6 | 15.0
| S/N | 14.5 | 22.6 | 24.4
| S/N(c) | 24.8 | 47.1 | 11.7
| SN(E/C) | 0.97
|
|
|
|
|
|
|
6430061
| 47
| | Red | Green | Blue
| z | | 18.95
| znorm | | 14.77
| sky | 14.8 | 14.7 | 15.0
| S/N | 13.7 | 21.7 | 23.4
| S/N(c) | 24.0 | 45.6 | 11.3
| SN(E/C) | 1.00
|
|
|
|
|
|
|
6430062
| 47
| | Red | Green | Blue
| z | | 19.03
| znorm | | 14.85
| sky | 14.9 | 14.6 | 15.0
| S/N | 14.5 | 22.4 | 24.4
| S/N(c) | 25.0 | 47.4 | 11.9
| SN(E/C) | 0.99
|
|
|
|
|
|
|
6430063
| 47
| | Red | Green | Blue
| z | | 19.11
| znorm | | 14.93
| sky | 14.5 | 14.5 | 14.9
| S/N | 15.2 | 23.4 | 25.8
| S/N(c) | 26.1 | 49.1 | 12.3
| SN(E/C) | 0.96
|
|
|
|
|
|
|
6430064
| 47
| | Red | Green | Blue
| z | | 19.13
| znorm | | 14.95
| sky | 14.7 | 14.7 | 15.0
| S/N | 15.3 | 24.2 | 26.4
| S/N(c) | 26.4 | 49.6 | 12.5
| SN(E/C) | 0.93
|
|
|
|
|
|
|
6430065
| 47
| | Red | Green | Blue
| z | | 19.14
| znorm | | 14.96
| sky | 14.9 | 14.7 | 15.0
| S/N | 15.6 | 24.7 | 26.3
| S/N(c) | 26.5 | 49.9 | 12.7
| SN(E/C) | 0.93
|
|
|
|
|
|
|