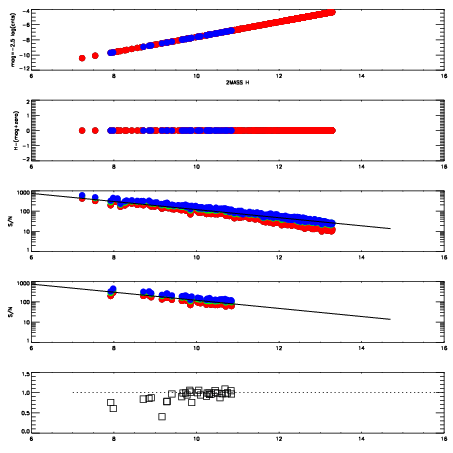
Left plots: red are targets, blue are telluric. Observed mags are calculated from median value of green chip. Zeropoint gives overall throughput: bigger number is more throughput.
First spatial plots: circles are objects, squares are tellurics, crosses are sky fibers. Colors give deviation of observed mag from expected 2MASS mag using the median zeropoint; red is brighter
Second spatial plots: circles are sky fibers. Colors give sky line brightness relative to plate median sky line brightness
FrameNreadsZeropointsMag plots Spatial mag deviation Spatial sky 16325A emission deviations (filled: sky, open: star) Spatial sky continuum emission Spatial sky telluric CO2 absorption deviations (filled: H < 10)
0 0
RedGreenBlue
z17.64
znorm Inf
sky -NaN -Inf -Inf
S/N 28.7 47.6 50.6
S/N(c) 0.0 0.0 0.0
SN(E/C) 0.97

IPAIRNAMESHIFTNEWSHIFTS/N NAMESHIFTNEWSHIFTS/N
0 06400077 0.489077 0.00000 19.1244 06400079 -0.000107776 0.489185 19.1736
1 06400080 0.488444 0.000633001 19.1117 06400082 0.000302346 0.488775 19.1419
2 06400081 0.488494 0.000582993 19.1104 06400078 0.00166078 0.487416 19.1242
3 06400076 0.488908 0.000169009 19.0030 06400075 0.00000 0.489077 19.1169