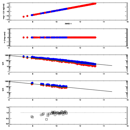
Left plots: red are targets, blue are telluric. Observed mags are calculated from median value of green chip. Zeropoint gives overall throughput: bigger number is more throughput.
First spatial plots: circles are objects, squares are tellurics, crosses are sky fibers. Colors give deviation of observed mag from expected 2MASS mag using the median zeropoint; red is brighter
Second spatial plots: circles are sky fibers. Colors give sky line brightness relative to plate median sky line brightness
FrameNreadsZeropointsMag plots Spatial mag deviation Spatial sky 16325A emission deviations (filled: sky, open: star) Spatial sky continuum emission Spatial sky telluric CO2 absorption deviations (filled: H < 10)
0 0
RedGreenBlue
z17.64
znorm Inf
sky -NaN -Inf -Inf
S/N 28.6 48.6 52.4
S/N(c) 0.0 0.0 0.0
SN(E/C) 0.96

IPAIRNAMESHIFTNEWSHIFTS/N NAMESHIFTNEWSHIFTS/N
0 06440065 0.470035 0.00000 19.1525 06440066 0.000414745 0.469620 19.1937
1 06440060 0.468548 0.00148699 19.2001 06440062 -0.00118179 0.471217 19.2022
2 06440061 0.469708 0.000326991 19.1975 06440059 0.00000 0.470035 19.1945
3 06440064 0.469739 0.000295997 18.8445 06440063 -0.00259919 0.472634 18.8506