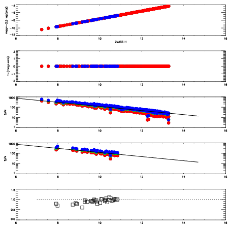
Left plots: red are targets, blue are telluric. Observed mags are calculated from median value of green chip. Zeropoint gives overall throughput: bigger number is more throughput.
First spatial plots: circles are objects, squares are tellurics, crosses are sky fibers. Colors give deviation of observed mag from expected 2MASS mag using the median zeropoint; red is brighter
Second spatial plots: circles are sky fibers. Colors give sky line brightness relative to plate median sky line brightness
FrameNreadsZeropointsMag plots Spatial mag deviation Spatial sky 16325A emission deviations (filled: sky, open: star) Spatial sky continuum emission Spatial sky telluric CO2 absorption deviations (filled: H < 10)
0 0
RedGreenBlue
z17.64
znorm Inf
sky -NaN -NaN -Inf
S/N 28.1 46.4 51.6
S/N(c) 0.0 0.0 0.0
SN(E/C) 0.95

IPAIRNAMESHIFTNEWSHIFTS/N NAMESHIFTNEWSHIFTS/N
0 06660073 0.489772 0.00000 19.1242 06660070 0.00549581 0.484276 19.1021
1 06660072 0.489651 0.000120997 19.1340 06660071 0.000848007 0.488924 19.1516
2 06660068 0.488395 0.00137699 19.1128 06660074 0.00550416 0.484268 19.0896
3 06660069 0.488405 0.00136700 19.1048 06660067 0.00000 0.489772 19.0844