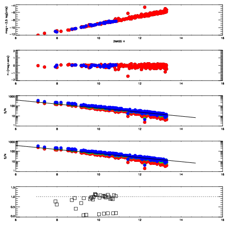
Frame | Nreads | Zeropoints | Mag plots
| Spatial mag deviation
| Spatial sky 16325A emission deviations (filled: sky, open: star)
| Spatial sky continuum emission
| Spatial sky telluric CO2 absorption deviations (filled: H < 10)
|
6650081
| 47
| | Red | Green | Blue
| z | | 19.11
| znorm | | 14.93
| sky | 15.0 | 14.6 | 14.5
| S/N | 16.4 | 26.0 | 27.8
| S/N(c) | 34.3 | 28.3 | 21.4
| SN(E/C) | 0.93
|
|
|
|
|
|
|
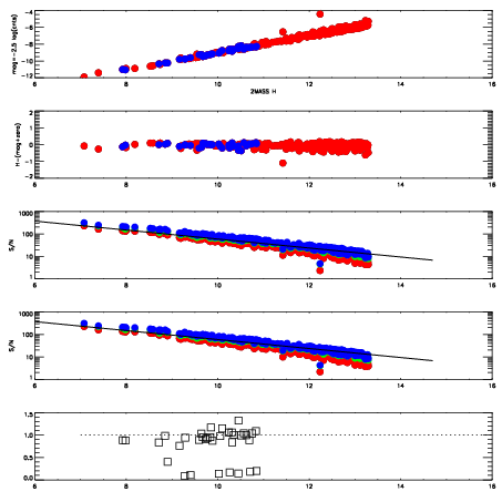
6650082
| 47
| | Red | Green | Blue
| z | | 19.09
| znorm | | 14.91
| sky | 15.0 | 14.7 | 14.8
| S/N | 16.0 | 25.6 | 28.2
| S/N(c) | 34.2 | 28.0 | 21.3
| SN(E/C) | 0.91
|
|
|
|
|
|
|
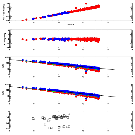
6650083
| 47
| | Red | Green | Blue
| z | | 19.06
| znorm | | 14.88
| sky | 15.0 | 14.7 | 14.9
| S/N | 16.4 | 25.6 | 27.6
| S/N(c) | 33.7 | 27.7 | 21.1
| SN(E/C) | 0.92
|
|
|
|
|
|
|
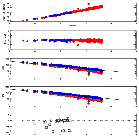
6650084
| 47
| | Red | Green | Blue
| z | | 19.02
| znorm | | 14.84
| sky | 15.2 | 14.8 | 14.8
| S/N | 15.9 | 24.5 | 27.1
| S/N(c) | 33.2 | 27.2 | 20.7
| SN(E/C) | 0.90
|
|
|
|
|
|
|
6650085
| 47
| | Red | Green | Blue
| z | | 19.00
| znorm | | 14.82
| sky | 15.4 | 14.9 | 14.7
| S/N | 15.3 | 24.4 | 27.2
| S/N(c) | 32.6 | 27.1 | 20.5
| SN(E/C) | 0.89
|
|
|
|
|
|
|
6650086
| 47
| | Red | Green | Blue
| z | | 19.06
| znorm | | 14.88
| sky | 15.1 | 14.7 | 14.9
| S/N | 15.9 | 25.6 | 28.8
| S/N(c) | 34.2 | 28.2 | 21.2
| SN(E/C) | 0.95
|
|
|
|
|
|
|
6650087
| 47
| | Red | Green | Blue
| z | | 19.12
| znorm | | 14.94
| sky | 15.2 | 14.9 | 14.9
| S/N | 16.2 | 25.7 | 29.0
| S/N(c) | 34.5 | 27.9 | 21.7
| SN(E/C) | 0.91
|
|
|
|
|
|
|
6650088
| 47
| | Red | Green | Blue
| z | | 19.09
| znorm | | 14.91
| sky | 15.1 | 14.7 | 15.0
| S/N | 16.0 | 25.7 | 28.9
| S/N(c) | 34.5 | 27.6 | 21.3
| SN(E/C) | 0.93
|
|
|
|
|
|
|