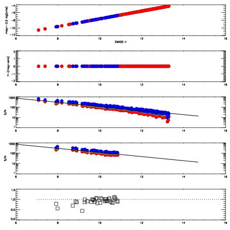
Left plots: red are targets, blue are telluric. Observed mags are calculated from median value of green chip. Zeropoint gives overall throughput: bigger number is more throughput.
First spatial plots: circles are objects, squares are tellurics, crosses are sky fibers. Colors give deviation of observed mag from expected 2MASS mag using the median zeropoint; red is brighter
Second spatial plots: circles are sky fibers. Colors give sky line brightness relative to plate median sky line brightness
FrameNreadsZeropointsMag plots Spatial mag deviation Spatial sky 16325A emission deviations (filled: sky, open: star) Spatial sky continuum emission Spatial sky telluric CO2 absorption deviations (filled: H < 10)
0 0
RedGreenBlue
z17.64
znorm Inf
sky -NaN -Inf -Inf
S/N 26.5 46.3 48.3
S/N(c) 0.0 0.0 0.0
SN(E/C) 0.90

IPAIRNAMESHIFTNEWSHIFTS/N NAMESHIFTNEWSHIFTS/N
0 06690068 0.476801 0.00000 19.1158 06690062 0.00000 0.476801 19.0548
1 06690063 0.475919 0.000882000 19.1431 06690069 0.000832045 0.475969 19.1230
2 06690064 0.476345 0.000456005 19.0986 06690065 0.000413353 0.476388 19.0259
3 06690067 0.476542 0.000259012 19.0533 06690066 0.00235710 0.474444 18.9925