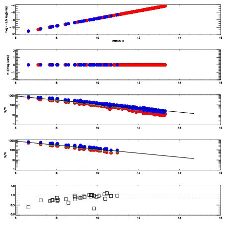
Left plots: red are targets, blue are telluric. Observed mags are calculated from median value of green chip. Zeropoint gives overall throughput: bigger number is more throughput.
First spatial plots: circles are objects, squares are tellurics, crosses are sky fibers. Colors give deviation of observed mag from expected 2MASS mag using the median zeropoint; red is brighter
Second spatial plots: circles are sky fibers. Colors give sky line brightness relative to plate median sky line brightness
FrameNreadsZeropointsMag plots Spatial mag deviation Spatial sky 16325A emission deviations (filled: sky, open: star) Spatial sky continuum emission Spatial sky telluric CO2 absorption deviations (filled: H < 10)
0 0
RedGreenBlue
z17.63
znorm Inf
sky -NaN -NaN -NaN
S/N 24.2 42.0 44.3
S/N(c) 0.0 0.0 0.0
SN(E/C) 0.89

IPAIRNAMESHIFTNEWSHIFTS/N NAMESHIFTNEWSHIFTS/N
0 06740038 0.492279 0.00000 19.0435 06740043 0.00187481 0.490404 19.0717
1 06740042 0.491455 0.000824004 18.9901 06740039 0.000807102 0.491472 18.9011
2 06740037 0.491458 0.000820994 18.9427 06740036 0.00000 0.492279 18.8568
3 06740041 0.491023 0.00125599 18.8615 06740040 0.000300846 0.491978 18.7701