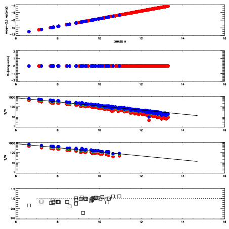
Left plots: red are targets, blue are telluric. Observed mags are calculated from median value of green chip. Zeropoint gives overall throughput: bigger number is more throughput.
First spatial plots: circles are objects, squares are tellurics, crosses are sky fibers. Colors give deviation of observed mag from expected 2MASS mag using the median zeropoint; red is brighter
Second spatial plots: circles are sky fibers. Colors give sky line brightness relative to plate median sky line brightness
FrameNreadsZeropointsMag plots Spatial mag deviation Spatial sky 16325A emission deviations (filled: sky, open: star) Spatial sky continuum emission Spatial sky telluric CO2 absorption deviations (filled: H < 10)
0 0
RedGreenBlue
z17.64
znorm Inf
sky -Inf -Inf -Inf
S/N 21.1 37.2 38.6
S/N(c) 0.0 0.0 0.0
SN(E/C) 0.96

IPAIRNAMESHIFTNEWSHIFTS/N NAMESHIFTNEWSHIFTS/N
0 06920065 0.498510 0.00000 18.8780 06920066 0.00198137 0.496529 18.6879
1 06920064 0.497603 0.000907004 18.9629 06920063 0.00000 0.498510 18.9588
2 06920069 0.497279 0.00123101 18.6811 06920070 0.00319813 0.495312 18.6210
3 06920068 0.496706 0.00180399 18.3861 06920067 0.00216423 0.496346 18.4725