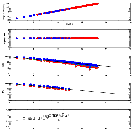
Left plots: red are targets, blue are telluric. Observed mags are calculated from median value of green chip. Zeropoint gives overall throughput: bigger number is more throughput.
First spatial plots: circles are objects, squares are tellurics, crosses are sky fibers. Colors give deviation of observed mag from expected 2MASS mag using the median zeropoint; red is brighter
Second spatial plots: circles are sky fibers. Colors give sky line brightness relative to plate median sky line brightness
FrameNreadsZeropointsMag plots Spatial mag deviation Spatial sky 16325A emission deviations (filled: sky, open: star) Spatial sky continuum emission Spatial sky telluric CO2 absorption deviations (filled: H < 10)
0 0
RedGreenBlue
z17.63
znorm Inf
sky -NaN -NaN -Inf
S/N 30.0 51.3 53.2
S/N(c) 0.0 0.0 0.0
SN(E/C) 0.92

IPAIRNAMESHIFTNEWSHIFTS/N NAMESHIFTNEWSHIFTS/N
0 06750011 0.494449 0.00000 19.0465 06750010 0.00000 0.494449 18.9735
1 06750015 0.491570 0.00287899 19.1499 06750014 -0.000610356 0.495059 19.1435
2 06750012 0.494438 1.09971e-05 19.1237 06750017 0.00396734 0.490482 19.1371
3 06750016 0.491633 0.00281599 19.1086 06750013 0.00201643 0.492433 19.1333