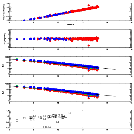
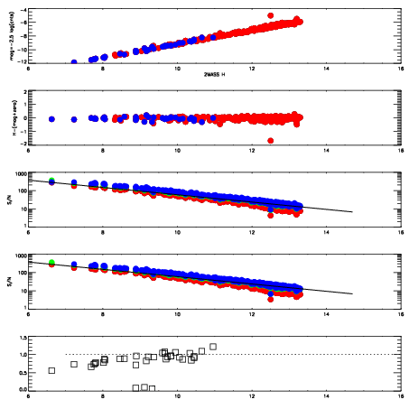
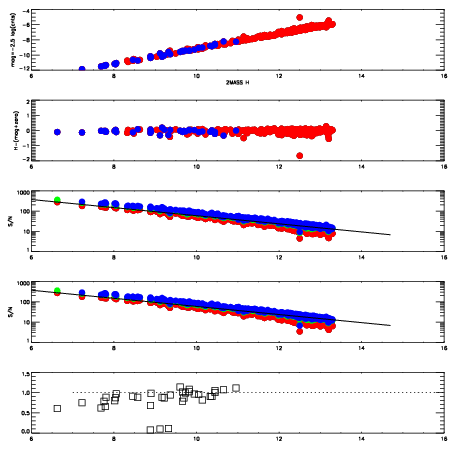
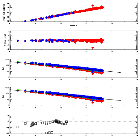
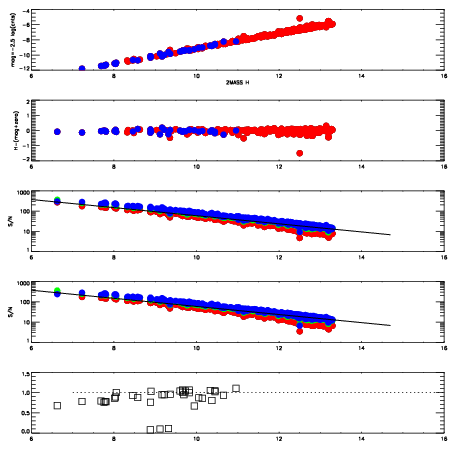
Frame | Nreads | Zeropoints | Mag plots
| Spatial mag deviation
| Spatial sky 16325A emission deviations (filled: sky, open: star)
| Spatial sky continuum emission
| Spatial sky telluric CO2 absorption deviations (filled: H < 10)
|
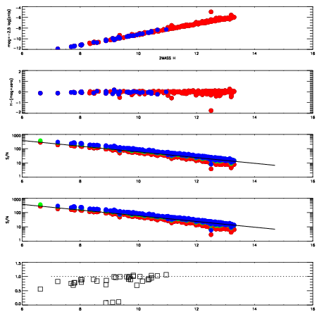
6930062
| 47
| | Red | Green | Blue
| z | | 19.15
| znorm | | 14.97
| sky | 15.0 | 14.5 | 14.6
| S/N | 17.0 | 28.3 | 29.8
| S/N(c) | 21.3 | 16.3 | 7.7
| SN(E/C) | 0.87
|
|
|
|
|
|
|
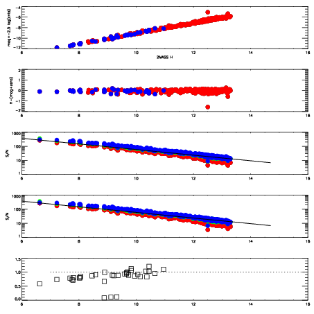
6930063
| 47
| | Red | Green | Blue
| z | | 19.18
| znorm | | 15.00
| sky | 15.3 | 14.7 | 15.0
| S/N | 17.7 | 29.2 | 31.1
| S/N(c) | 21.8 | 16.4 | 7.8
| SN(E/C) | 0.89
|
|
|
|
|
|
|
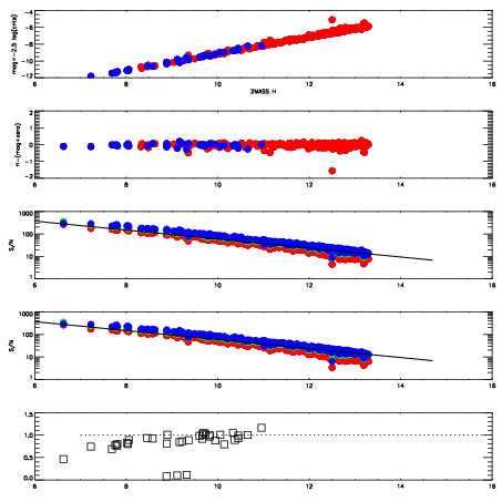
6930064
| 47
| | Red | Green | Blue
| z | | 19.21
| znorm | | 15.03
| sky | 15.1 | 14.7 | 14.9
| S/N | 17.9 | 29.7 | 31.4
| S/N(c) | 22.2 | 16.8 | 8.0
| SN(E/C) | 0.88
|
|
|
|
|
|
|
6930065
| 47
| | Red | Green | Blue
| z | | 19.20
| znorm | | 15.02
| sky | 15.0 | 14.8 | 14.9
| S/N | 17.6 | 29.5 | 30.9
| S/N(c) | 22.2 | 16.6 | 7.9
| SN(E/C) | 0.88
|
|
|
|
|
|
|
6930066
| 47
| | Red | Green | Blue
| z | | 19.16
| znorm | | 14.98
| sky | 15.0 | 14.7 | 14.9
| S/N | 17.5 | 28.4 | 29.6
| S/N(c) | 22.2 | 16.5 | 8.0
| SN(E/C) | 0.89
|
|
|
|
|
|
|
6930067
| 47
| | Red | Green | Blue
| z | | 19.22
| znorm | | 15.04
| sky | 15.0 | 14.7 | 14.9
| S/N | 18.2 | 29.9 | 31.0
| S/N(c) | 22.8 | 16.9 | 8.1
| SN(E/C) | 0.89
|
|
|
|
|
|
|
6930068
| 47
| | Red | Green | Blue
| z | | 19.17
| znorm | | 14.99
| sky | 14.9 | 14.9 | 14.9
| S/N | 17.6 | 29.3 | 30.4
| S/N(c) | 22.1 | 16.6 | 8.2
| SN(E/C) | 0.93
|
|
|
|
|
|
|
6930069
| 47
| | Red | Green | Blue
| z | | 19.17
| znorm | | 14.99
| sky | 14.9 | 14.8 | 14.9
| S/N | 17.5 | 28.4 | 29.6
| S/N(c) | 22.2 | 16.7 | 8.1
| SN(E/C) | 0.92
|
|
|
|
|
|
|