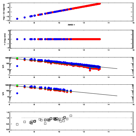
Left plots: red are targets, blue are telluric. Observed mags are calculated from median value of green chip. Zeropoint gives overall throughput: bigger number is more throughput.
First spatial plots: circles are objects, squares are tellurics, crosses are sky fibers. Colors give deviation of observed mag from expected 2MASS mag using the median zeropoint; red is brighter
Second spatial plots: circles are sky fibers. Colors give sky line brightness relative to plate median sky line brightness
FrameNreadsZeropointsMag plots Spatial mag deviation Spatial sky 16325A emission deviations (filled: sky, open: star) Spatial sky continuum emission Spatial sky telluric CO2 absorption deviations (filled: H < 10)
0 0
RedGreenBlue
z17.63
znorm Inf
sky -NaN -NaN -Inf
S/N 32.3 54.7 55.7
S/N(c) 0.0 0.0 0.0
SN(E/C) 0.84

IPAIRNAMESHIFTNEWSHIFTS/N NAMESHIFTNEWSHIFTS/N
0 06930063 0.493268 0.00000 19.1686 06930066 0.00278859 0.490479 19.1525
1 06930067 0.491519 0.00174901 19.2160 06930065 0.00181664 0.491451 19.1840
2 06930064 0.492902 0.000366002 19.2010 06930069 8.46405e-06 0.493260 19.1579
3 06930068 0.491613 0.00165501 19.1561 06930062 0.00000 0.493268 19.1406