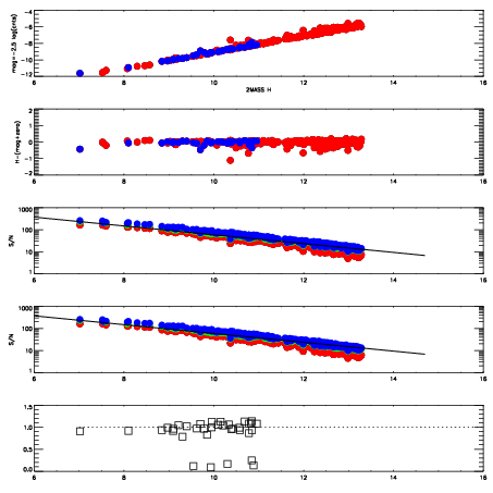
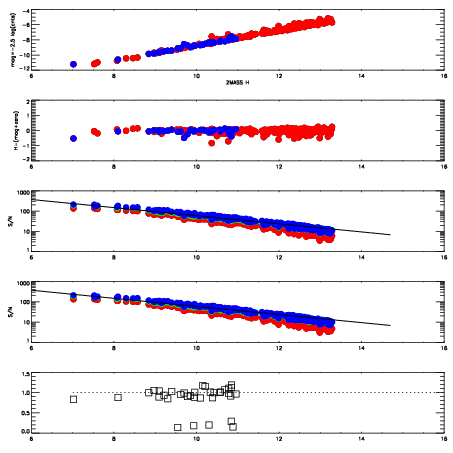
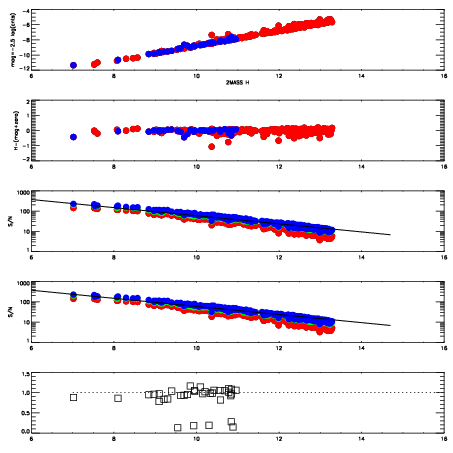
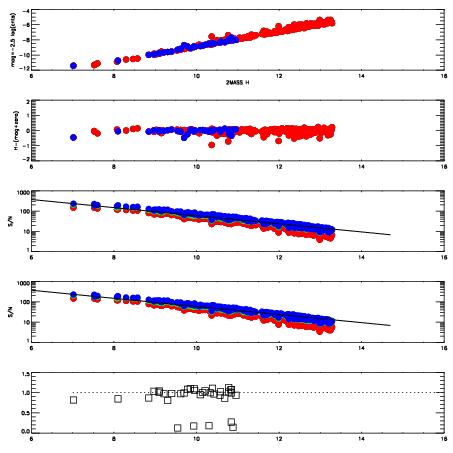
Frame | Nreads | Zeropoints | Mag plots
| Spatial mag deviation
| Spatial sky 16325A emission deviations (filled: sky, open: star)
| Spatial sky continuum emission
| Spatial sky telluric CO2 absorption deviations (filled: H < 10)
|
7890022
| 47
| | Red | Green | Blue
| z | | 18.76
| znorm | | 14.57
| sky | 15.1 | 14.5 | 14.5
| S/N | 13.8 | 22.8 | 24.3
| S/N(c) | 19.2 | 18.1 | 14.0
| SN(E/C) | 0.96
|
|
|
|
|
|
|
7890023
| 47
| | Red | Green | Blue
| z | | 18.88
| znorm | | 14.70
| sky | 15.2 | 14.7 | 15.0
| S/N | 15.4 | 25.2 | 27.2
| S/N(c) | 20.3 | 19.4 | 15.2
| SN(E/C) | 0.99
|
|
|
|
|
|
|
7890024
| 47
| | Red | Green | Blue
| z | | 18.84
| znorm | | 14.66
| sky | 15.0 | 14.8 | 14.9
| S/N | 14.7 | 24.3 | 26.2
| S/N(c) | 19.6 | 18.7 | 14.7
| SN(E/C) | 1.01
|
|
|
|
|
|
|
7890025
| 47
| | Red | Green | Blue
| z | | 18.64
| znorm | | 14.46
| sky | 15.0 | 14.7 | 15.1
| S/N | 12.6 | 21.9 | 23.8
| S/N(c) | 17.5 | 17.1 | 13.4
| SN(E/C) | 1.00
|
|
|
|
|
|
|
7890026
| 47
| | Red | Green | Blue
| z | | 18.22
| znorm | | 14.04
| sky | 14.7 | 14.7 | 14.8
| S/N | 9.3 | 17.1 | 17.8
| S/N(c) | 13.4 | 13.6 | 10.6
| SN(E/C) | 1.03
|
|
|
|
|
|
|
7890027
| 47
| | Red | Green | Blue
| z | | 18.79
| znorm | | 14.61
| sky | 15.0 | 14.9 | 15.0
| S/N | 13.9 | 23.7 | 25.7
| S/N(c) | 19.4 | 18.5 | 14.5
| SN(E/C) | 0.96
|
|
|
|
|
|
|
7890028
| 47
| | Red | Green | Blue
| z | | 19.07
| znorm | | 14.89
| sky | 15.3 | 15.1 | 15.3
| S/N | 16.9 | 27.4 | 30.2
| S/N(c) | 22.5 | 21.2 | 16.8
| SN(E/C) | 0.97
|
|
|
|
|
|
|
7890029
| 47
| | Red | Green | Blue
| z | | 19.11
| znorm | | 14.93
| sky | 15.2 | 15.2 | 15.3
| S/N | 16.9 | 27.7 | 30.0
| S/N(c) | 22.6 | 21.4 | 16.9
| SN(E/C) | 0.96
|
|
|
|
|
|
|