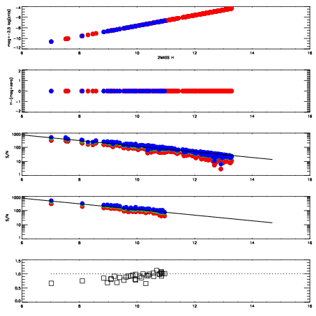
Left plots: red are targets, blue are telluric. Observed mags are calculated from median value of green chip. Zeropoint gives overall throughput: bigger number is more throughput.
First spatial plots: circles are objects, squares are tellurics, crosses are sky fibers. Colors give deviation of observed mag from expected 2MASS mag using the median zeropoint; red is brighter
Second spatial plots: circles are sky fibers. Colors give sky line brightness relative to plate median sky line brightness
FrameNreadsZeropointsMag plots Spatial mag deviation Spatial sky 16325A emission deviations (filled: sky, open: star) Spatial sky continuum emission Spatial sky telluric CO2 absorption deviations (filled: H < 10)
0 0
RedGreenBlue
z17.64
znorm Inf
sky -Inf -Inf -Inf
S/N 25.3 42.7 46.2
S/N(c) 0.0 0.0 0.0
SN(E/C) 0.92

IPAIRNAMESHIFTNEWSHIFTS/N NAMESHIFTNEWSHIFTS/N
0 08150013 0.512834 0.00000 18.8208 08150014 -0.000618789 0.513453 18.5111
1 08150012 0.509486 0.00334799 18.9884 08150011 0.00000 0.512834 19.0230
2 08150017 0.509411 0.00342304 18.9486 08150018 -0.00201684 0.514851 18.9656
3 08150016 0.509797 0.00303704 18.8990 08150015 -0.00174699 0.514581 18.7984