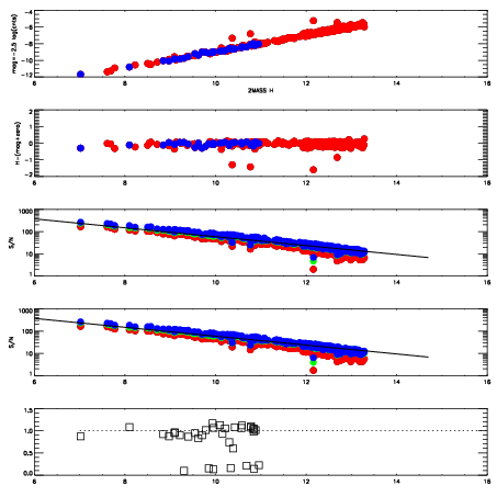
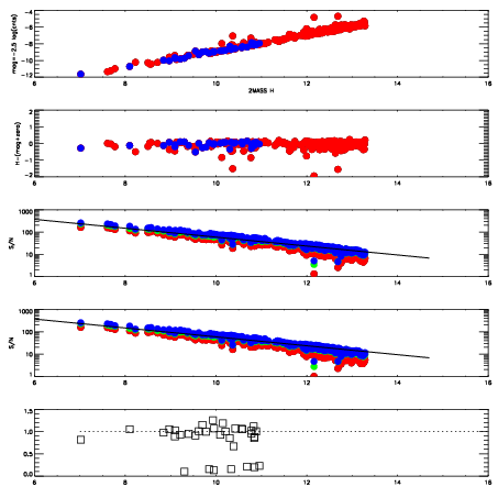
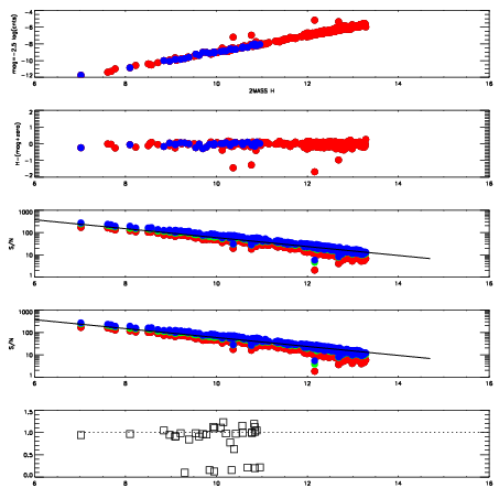
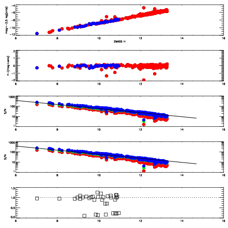
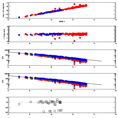
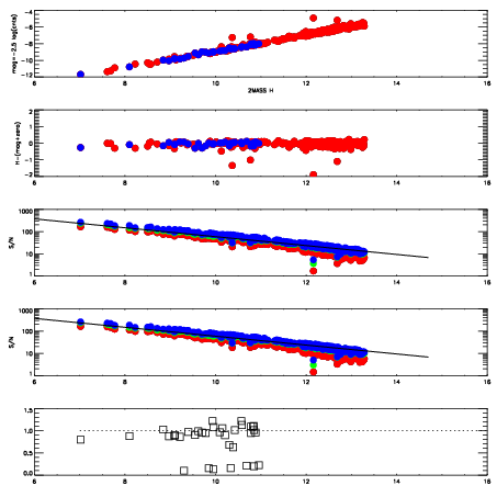
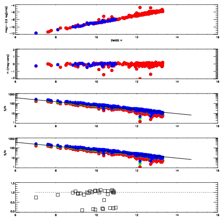
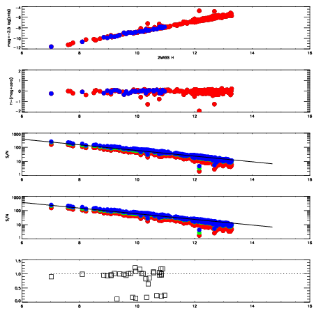
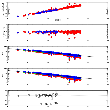
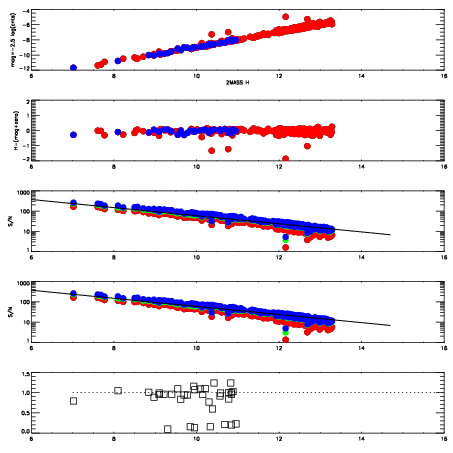
Frame | Nreads | Zeropoints | Mag plots
| Spatial mag deviation
| Spatial sky 16325A emission deviations (filled: sky, open: star)
| Spatial sky continuum emission
| Spatial sky telluric CO2 absorption deviations (filled: H < 10)
|
10800087
| 47
| | Red | Green | Blue
| z | | 19.00
| znorm | | 14.82
| sky | 14.7 | 14.3 | 14.2
| S/N | 15.5 | 23.5 | 25.2
| S/N(c) | 30.2 | 14.4 | 15.4
| SN(E/C) | 0.94
|
|
|
|
|
|
|
10800088
| 47
| | Red | Green | Blue
| z | | 19.00
| znorm | | 14.82
| sky | 14.6 | 14.3 | 14.4
| S/N | 15.3 | 23.2 | 25.2
| S/N(c) | 30.0 | 14.5 | 15.6
| SN(E/C) | 0.96
|
|
|
|
|
|
|
10800089
| 47
| | Red | Green | Blue
| z | | 18.98
| znorm | | 14.80
| sky | 14.9 | 14.4 | 14.5
| S/N | 15.2 | 23.5 | 25.2
| S/N(c) | 29.2 | 14.1 | 15.3
| SN(E/C) | 0.95
|
|
|
|
|
|
|
10800090
| 47
| | Red | Green | Blue
| z | | 18.96
| znorm | | 14.78
| sky | 14.7 | 14.3 | 14.4
| S/N | 15.1 | 23.3 | 25.2
| S/N(c) | 28.6 | 14.0 | 15.1
| SN(E/C) | 0.94
|
|
|
|
|
|
|
10800091
| 47
| | Red | Green | Blue
| z | | 18.82
| znorm | | 14.64
| sky | 14.7 | 14.4 | 14.5
| S/N | 13.8 | 21.9 | 23.6
| S/N(c) | 26.4 | 13.0 | 13.9
| SN(E/C) | 0.97
|
|
|
|
|
|
|
10800092
| 47
| | Red | Green | Blue
| z | | 18.78
| znorm | | 14.60
| sky | 14.6 | 14.4 | 14.4
| S/N | 13.1 | 21.8 | 23.1
| S/N(c) | 25.8 | 12.7 | 13.7
| SN(E/C) | 0.98
|
|
|
|
|
|
|
10800093
| 47
| | Red | Green | Blue
| z | | 18.82
| znorm | | 14.64
| sky | 14.5 | 14.4 | 14.3
| S/N | 13.7 | 22.4 | 23.7
| S/N(c) | 26.3 | 12.8 | 14.2
| SN(E/C) | 0.97
|
|
|
|
|
|
|
10800094
| 47
| | Red | Green | Blue
| z | | 18.93
| znorm | | 14.75
| sky | 14.5 | 14.3 | 14.4
| S/N | 14.9 | 24.1 | 25.6
| S/N(c) | 27.4 | 13.4 | 14.5
| SN(E/C) | 0.98
|
|
|
|
|
|
|
10800095
| 47
| | Red | Green | Blue
| z | | 18.94
| znorm | | 14.76
| sky | 14.5 | 14.3 | 14.3
| S/N | 14.9 | 23.6 | 25.4
| S/N(c) | 27.1 | 13.3 | 14.7
| SN(E/C) | 0.95
|
|
|
|
|
|
|
10800096
| 47
| | Red | Green | Blue
| z | | 18.91
| znorm | | 14.73
| sky | 14.7 | 14.3 | 14.2
| S/N | 14.9 | 22.9 | 25.3
| S/N(c) | 27.0 | 13.2 | 14.7
| SN(E/C) | 0.98
|
|
|
|
|
|
|